Найти в Дзене

Глава 10. Законы постоянного тока. Задача 6.

Задача которую я мучал больше двух недель. С точки зрения физики, задача простенькая, но каждый раз я упирался в математику, и каждый раз откладывал решение на потом. И вот настал момент, когда звёзды сошлись, время, энергия, желание и неудовлетворённое любопытство. К сожалению редактор в Дзене не позволяет вставлять формулы, поэтому большая часть решения у меня будет в виде сканов. Решение данной задачи, я искал в интернете. Те решения которые я нашёл, я смог понять, только после того, как сам рашил задачу полностью. И всё равно, есть ощущение, что получилось немного криво((( Задача: Электрический чайник имеет в нагревателе две секции. Если они соединены параллельно, то вода в чайнике закипает за 8 минут, а если включены последовательно, то за 50 минут. За какое время закипит вода, если включена одна из секций? Решение: Начали решать эту задачу в классе со студентами и сразу пошли не по тому пути. Из условия задачи я посчитал, что секции имеют одинаковое сопротивление, и только заглян

Задача которую я мучал больше двух недель. С точки зрения физики, задача простенькая, но каждый раз я упирался в математику, и каждый раз откладывал решение на потом. И вот настал момент, когда звёзды сошлись, время, энергия, желание и неудовлетворённое любопытство. К сожалению редактор в Дзене не позволяет вставлять формулы, поэтому большая часть решения у меня будет в виде сканов.

Решение данной задачи, я искал в интернете. Те решения которые я нашёл, я смог понять, только после того, как сам рашил задачу полностью. И всё равно, есть ощущение, что получилось немного криво(((

Задача: Электрический чайник имеет в нагревателе две секции. Если они соединены параллельно, то вода в чайнике закипает за 8 минут, а если включены последовательно, то за 50 минут. За какое время закипит вода, если включена одна из секций?

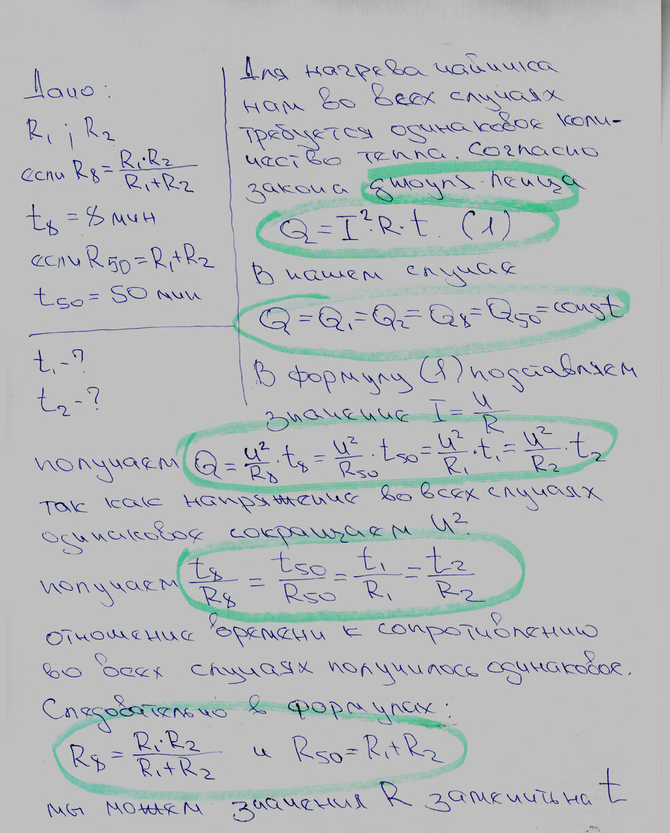
Решение: Начали решать эту задачу в классе со студентами и сразу пошли не по тому пути. Из условия задачи я посчитал, что секции имеют одинаковое сопротивление, и только заглянув в ответ я увидел там два значения. ИТАК у нас есть чайник с двумя секциями, разной мощности. Мы знаем, что в зависимости от параллельного или последовательного включения секций, чайник закипает за разное время. Время у нас дано. Далее поочереди включаем вначале одну секцию, затем другую и находим время за которое чайник вскипит в каждом случае.

Как будем решать? Первое , что объединяет все четыре варианта, то что в каждом случае мы должны чайнику сообщить одинаковое количество теплоты, что бы довести его до кипения. Количество теплоты находим согласно закона Джоуля Ленца Q=IUt. Тут же заметим, что во всех четырёх случаях у нас напряжение тоже будет совпадать. Далее, в формуле согласно закона Ома, силу тока заменяем формулой I=U/R и выражаем количество теплоты через напряжение и сопротивление.

Дальше всё на картинках.

-2