Добавить в корзинуПозвонить
Найти в Дзене

Вектор состояний

Содержание: Итак, мы научились определять вероятность того, живой кот или нет. Теперь можно определить по-настоящему важную для практических целей величину: среднюю температуру живого кота. Для начала еще раз воспроизведем вспомогательную таблицу с известными уже величинами: Как обычно, чтобы найти среднее, надо сложить все температуры живых котов в нашем опыте и поделить эту температуру на полное число живых котов: Вспомним формулу для вероятности того, что случайно выбранный кот оказался живым: Видно, что можно заменить знаменатель в формуле (*): Воспользуемся тем, что у нас равномерное распределение по пяти возможным температурам, поэтому N=5n: Под значком суммы у нас вероятности того, что кот живой при температуре ti: Подставим наши значения: Мы вычислили среднюю температуру живого кота, не проводя никаких экспериментов! Для этого вычисления нам требуются все возможные показания физического прибора – термометра, а также нужна информация о вероятностях жизни при разных температурах

Содержание:

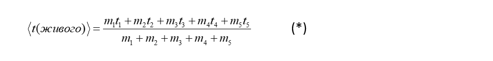
Итак, мы научились определять вероятность того, живой кот или нет. Теперь можно определить по-настоящему важную для практических целей величину: среднюю температуру живого кота. Для начала еще раз воспроизведем вспомогательную таблицу с известными уже величинами:

Как обычно, чтобы найти среднее, надо сложить все температуры живых котов в нашем опыте и поделить эту температуру на полное число живых котов:

-2

Вспомним формулу для вероятности того, что случайно выбранный кот оказался живым:

-3

Видно, что можно заменить знаменатель в формуле (*):

-4

Воспользуемся тем, что у нас равномерное распределение по пяти возможным температурам, поэтому N=5n:

-5

Под значком суммы у нас вероятности того, что кот живой при температуре ti:

-6

Подставим наши значения:

-7

Мы вычислили среднюю температуру живого кота, не проводя никаких экспериментов! Для этого вычисления нам требуются все возможные показания физического прибора – термометра, а также нужна информация о вероятностях жизни при разных температурах.

-8

Заметим, что все то же самое можно записать с помощью матричного умножения. Для этого нужно представить показания термометра в виде знакомой уже нам диагональной матрицы:

-9

Вероятности опять заменим на вектора состояний:

-10

Тогда средняя температура живого кота запишется формулой:

-11

Из-за знаменателя полученная формула выглядит не очень красивой. Можно избавиться от дроби если провести процедуру «нормировки». Под этим термином понимается дополнительное условие на вектор состояния, которое мы сами накладываем для своего удобства. Этим условием будет требование, чтобы умноженный сам на себя вектор состояния давал единицу:

-12

Чтобы это условие выполнялось, достаточно переопределить вектор состояния (**) домножением его на «постоянную нормировки»:

-13

Найти эту постоянную не составит труда из условия нормировки:

-14

Посчитаем теперь среднюю температуру живого кота еще раз, но по-новому:

-15

В итоге получаем следующий вывод: кот Шредингера находится в неопределенном состоянии. Мы можем измерять много раз разные физические параметры кота, разными физическими приборами и получить среднее значение этих параметров экспериментально. Но мы можем и ничего не измерять, а посчитать среднее значение нужных нам параметров если будем знать:

  1. характеристику измерительного прибора (все возможные значения, которые может этот прибор нам выдать)
  2. вектор состояний для интересующего нас физического параметра.

Характеристику прибора мы называем «оператором физической величины». Все возможные значения, которые может выдать прибор – это собственные значения оператора. Вектор состояний физического параметра – это величина, квадрат которой равен вероятности того, что данный параметр будет найден в эксперименте.

Предыдущая статья: Вероятность найти живого кота

Следующая статья: Оператор физической величины