Добавить в корзинуПозвонить
Найти в Дзене

Неопределенные состояния

Содержание: С точки зрения обывательской логики то, что кот ни живой ни мертвый, кажется абсолютной чушью. Кот может быть, либо в одном, либо в другом состоянии и никаких неопределенностей! Если все же немного задуматься, то можно вспомнить, что кроме «живой» и «мертвый», существуют и разные «пограничные» состояния, например «кома», «клиническая смерть» и т.д. То есть, если мы открыли ящик и увидели неподвижного кота, это еще не значит, что кот мертв. Возможно, он просто уснул! Более или менее достоверно определить состояние кота может ветеринар с помощью специальных медицинских приборов: градусник, тонометр и т.п. Ведь даже если кот не двигается и температура тела у кота не очень нормальная, есть вероятность что кот все же живой. Если провести множество экспериментов над разными котами в подобной ситуации, то можно определить некую таблицу соответствия показания медицинского прибора и вероятности того, что кот живой. Допустим, что состояние кота мы определяем с помощью термометра. Мы

Содержание:

С точки зрения обывательской логики то, что кот ни живой ни мертвый, кажется абсолютной чушью. Кот может быть, либо в одном, либо в другом состоянии и никаких неопределенностей!

Если все же немного задуматься, то можно вспомнить, что кроме «живой» и «мертвый», существуют и разные «пограничные» состояния, например «кома», «клиническая смерть» и т.д. То есть, если мы открыли ящик и увидели неподвижного кота, это еще не значит, что кот мертв. Возможно, он просто уснул!

Более или менее достоверно определить состояние кота может ветеринар с помощью специальных медицинских приборов: градусник, тонометр и т.п. Ведь даже если кот не двигается и температура тела у кота не очень нормальная, есть вероятность что кот все же живой. Если провести множество экспериментов над разными котами в подобной ситуации, то можно определить некую таблицу соответствия показания медицинского прибора и вероятности того, что кот живой.

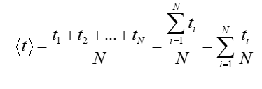
Допустим, что состояние кота мы определяем с помощью термометра. Мы провели серию из N экспериментов, в каждом из которых то закрывали, то открывали ящик и измеряли температуру кота. Все эти температуры записали в протокол измерений и хотим теперь посчитать среднее значение температуры.

Среднее значение все мы умеем считать со школьной скамьи. Нужно, в данном случае, сложить все температуры и поделить на N:

-2

Если мы хотим сделать очень много измерений, то одного кота в ящике нам может не хватить. В какой-то момент кот может оказаться реально мертвым, температура у него снизится до комнатной и дальнейшие измерения потеряют смысл. Поэтому лучше расширить эксперимент: использовать большое множество котов в ящике. Измерять температуру будем каждый раз у случайного, наугад выбранного кота.

Для простоты допустим, что у ветеринара есть не очень хороший термометр, который может показывать только температуру 0, 10, 20, 30 и 40 градусов Цельсия. В результате множества экспериментов ветеринар может получить, например, следующую таблицу для эксперимента, в котором участвуют N котов:

-3

Среднее значение температуры можно теперь посчитать по формуле:

-4

Дробь ni/N - это вероятность того, что у случайно выбранного кота будет температура ti. Вероятность всегда меньше единицы, сумма всех вероятностей равна единице. В нашем примере:

-5

Когда мы говорим, что кот находится в неопределенном состоянии, то это просто означает, что мы пока не определяли (не измеряли) никаких параметров и можем описывать состояние кота лишь с помощью вероятностей.

Предыдущая статья: Эксперимент «Кот Шрёдингера»

Следующая статья: Вероятность найти живого кота