Найти в Дзене

Подготовка к ДВИ МГУ по математике в 2025 году

Оглавление

Рассказываем, сколько времени потребуется на подготовку к ДВИ по математике и как заниматься самостоятельно.

Что такое ДВИ по математике в МГУ и зачем они нужны

ДВИ — это дополнительные вступительные испытания, которые проводит МГУ для абитуриентов. ДВИ делятся на два типа: профильные (русский язык, математика, химия, физика и т. д.) и творческие испытания (вступительные на направления «журналистика», «изящные искусства», «телевидение» и т. д.).‍

ДВИ по математике в МГУ необходимы для поступления в бакалавриат на 13 факультетов МГУ:

  • экономический факультет;
  • механико-математический факультет;
  • факультет вычислительной математики и кибернетики;
  • геологический факультет;
  • факультет наук о материалах;
  • факультет биоинженерии и биоинформатики;
  • факультет фундаментальной физико-химической инженерии;
  • Высшая школа государственного аудита;
  • факультет государственного управления;
  • Высшая школа бизнеса;
  • Московская школа экономики;
  • Высшая школа управления и инноваций;
  • факультет космических исследований.‍

ДВИ помогают институту оценить готовность абитуриента к обучению специальности. Результат испытания суммируется с баллами ЕГЭ, формируя итоговый конкурсный список.‍

Как проходят ДВИ по математике в МГУ

В 2025 году ДВИ по математике будут проводиться в несколько потоков с использованием дистанционных технологий на портале МГУ. Распределение поступающих по потокам определяет приёмная комиссия.‍

Информация о дате и времени вступительного испытания поступает абитуриенту не позднее чем за 2 дня до проведения — на электронную почту, указанную при подаче документов.

Испытание длится 4 часа и включает в себя 7–8 заданий разной сложности.‍

1–2-я задачи: уравнения и неравенства.
‍3–4-я задачи: показательные, тригонометрические, логарифмические, смешанные уравнения и неравенства, системы.
‍5-я задача: планиметрия.
‍6-я задача: текстовая задача.
‍7-я задача: стереометрия.
‍8-я задача: сложные уравнения, неравенства или системы с параметрами.‍

Какие задания бывают на ДВИ

Для решения задач ДВИ по математике недостаточно знаний в рамках школьной программы: важно уметь не только решать типовые задачи, как на ЕГЭ, но и находить нестандартные решения. Варианты ДВИ по математике разных лет можно найти на сайте приёмной комиссии мехмата МГУ.

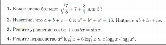
Пример заданий 1—4 из варианта ДВИ
Пример заданий 1—4 из варианта ДВИ

Почти всегда в задачах присутствуют логарифмы, показательные функции, корни, модули, тригонометрия — это традиционный набор обычного вступительного экзамена прошлых лет.

Пример задачи по планиметрии из варианта ДВИ
Пример задачи по планиметрии из варианта ДВИ

Очень часто экзамен включает трудную задачу по планиметрии и часто — по стереометрии. Также часто попадаются текстовые задачи, и почти всегда встречается задача с несколькими переменными или с параметром.

Пример текстовой задачи из варианта ДВИ
Пример текстовой задачи из варианта ДВИ

Сколько времени нужно для подготовки

Вопрос о времени подготовки индивидуален. Учащемуся профильного математического класса достаточно будет полугода, а тем, кто не изучал математику на углублённом уровне, на подготовку может потребоваться до двух лет.

Чтобы подготовка прошла в комфортном режиме, нужно заранее составить план обучения:

  • начать углублённые занятия математикой с 7–8-го класса;
  • использовать разные методы подготовки: нанять репетитора или пойти на курсы при факультете МГУ;
  • решать задания разных лет, повышая степень их сложности.

Как подготовиться к ДВИ по математике самостоятельно

К экзамену можно подготовиться самому, если делать это правильно. Собрали несколько рекомендаций по подготовке:

  • Решать задания прошлых лет. Важно научиться проверять собственные решения и находить в них ошибки, чтобы не допускать их на экзамене.
  • Использовать пособия для обучения. Например: И. Н. Сергеев. «Математика. Задачи с ответами и решениями. Пособие для поступающих в вузы»; В. В. Ткачук. «Математика — абитуриенту»; сборник «Математика. Подготовка к ЕГЭ и ДВИ МГУ» Н. Д. Золотарёвой, А. В. Разгулина, М. В. Федотова и Е. Н. Хайлова.
  • Расширять знание терминов. Грамотное использование терминологии может стать плюсом на испытании.
  • Решать олимпиадные задачи. По уровню сложности такие задания могут быть приближены к заданиям на ДВИ.
  • Сосредоточиться на слабых местах. Определить разделы и темы, в которых возникает больше всего сложностей, и выделить время на повторение.

Зачем заниматься с преподавателем

Если времени на подготовку не хватает или сложно самостоятельно определить слабые места, оптимальное решение — это занятия с преподавателем.

Преподаватель поможет:

  • спланировать нагрузку и составить расписание подготовки;
  • помочь в решении сложных задач и выбрать самый рациональный способ их решения;‍
  • объяснить сложные темы;
  • замотивировать и поддержать ученика.

Какие качества помогут сдать ДВИ

Чтобы справиться с ДВИ, будущему студенту понадобятся упорство, стремление к мастерству и к новым знаниям, а также способность отойти от шаблона и применить старые знания или отработанные приёмы к задачам с новыми формулировками. Если с первой половиной экзамена может справиться человек, который научился решать задачи ЕГЭ, то задачи второй половины экзамена требуют уже определённого уровня мастерства — умение решать задачи «по алгоритму» здесь не поможет.

Наука
7 млн интересуются