Добавить в корзинуПозвонить
Найти в Дзене

Ужасы электролиза на ЕГЭ по химии 2022. Часть 1. Параллельный электролиз + ОЧЕНЬ сложная задача от автора

Вы хотите познавать химию и профессионально, и с удовольствием? Тогда вам сюда! Автор методики системно-аналитического изучения химии Богунова В.Г. раскрывает тайны решения задач, делится секретами мастерства при подготовке к ОГЭ, ЕГЭ, ДВИ, олимпиадам Хочешь сдать ЕГЭ по химии и биологии на 90+? WhatsApp репетитора Богуновой В.Г. +7(903)186-74-55 Сайт репетитора Богуновой В.Г. Репетитор Богунова В.Г. ВК Ютуб-канал репетитора Богуновой В.Г. Полный каталог статей - на авторском сайте в разделе "Статьи репетитора Богуновой В.Г." На дворе апрель. Это значит, что очень скоро нам всем прийдется погрузиться в пучину ЕГЭ. Страшно? Очень страшно! Особенно пугает неопределенность - какие еще ловушки приготовили старательные работники ФИПИ в 2022 году?! Нам остается только прогнозировать и ванговать. Включаем логику. Перечислим основные направления алгоритмов: атомистика, растворимость, электролиз, пластины, газы (пока не сложные), кристаллогидраты, ну и комбинирование всех алгоритмов в единую в

Вы хотите познавать химию и профессионально, и с удовольствием? Тогда вам сюда! Автор методики системно-аналитического изучения химии Богунова В.Г. раскрывает тайны решения задач, делится секретами мастерства при подготовке к ОГЭ, ЕГЭ, ДВИ, олимпиадам

Хочешь сдать ЕГЭ по химии и биологии на 90+? WhatsApp репетитора Богуновой В.Г. +7(903)186-74-55

Сайт репетитора Богуновой В.Г.

Репетитор Богунова В.Г. ВК

Ютуб-канал репетитора Богуновой В.Г.

Полный каталог статей - на авторском сайте в разделе "Статьи репетитора Богуновой В.Г."

На дворе апрель. Это значит, что очень скоро нам всем прийдется погрузиться в пучину ЕГЭ. Страшно? Очень страшно! Особенно пугает неопределенность - какие еще ловушки приготовили старательные работники ФИПИ в 2022 году?!

Нам остается только прогнозировать и ванговать. Включаем логику. Перечислим основные направления алгоритмов: атомистика, растворимость, электролиз, пластины, газы (пока не сложные), кристаллогидраты, ну и комбинирование всех алгоритмов в единую вполне себе серьезную задачу.

Все эти алгоритмы уже были представлены на ЕГЭ. Но если за предел возможностей среднего уровня взять задачи Белавина, которые использовались на вступительных экзаменах во 2-й Мед, то задачи ЕГЭ - это, всего лишь, "первая ступень сложности". Так что, нам еще есть над чем работать и куда углубляться.

Как правило, зерна задач будущего ЕГЭ закладываются в предыдущем году. Нужно только разобрать все реальные задачи ЕГЭ "по косточкам" и следить за телодвижениями тех, кто "допущен к телу ФИПИ". Лично я так и поступаю и еще ни разу не ошиблась (тфу-тьфу-тьфу и по дереву)!

Первый прогноз на ЕГЭ 2022

Возможен электролиз в экзотическом исполнении: параллельный электролиз, электролиз с двумя солями, электролиз с последовательными электродами, расчеты с количеством вещества электронов, прошедших через электролизер. Все это вполне может быть сдобрено атомистикой.

Как подготовиться в таком случае к ЕГЭ, если большинство школьных преподавателей химии до сих пор считают, что алгоритмы шаблонизированы и их нужно запоминать.

Мое мнение

Шаблонизированы элементы алгоритмики (по крайней мере, каждый преподаватель просто обязан это сделать, иначе детей не научишь). Все остальное - это математическая логика!

Одна из важнейших задач преподавателя - научить ребят элементам алгоритмики и логике анализа при решении комбинированных заданий. Все это нужно делать постоянно, параллельно с изучением теории химии. С этого нужно начинать изучение предмета, в противном случае, химия в головах учеников превращается в алхимию.

Итак, начинаем работать "прыгаем от печки".

Для меня "печка" - это реальная задача ЕГЭ прошлого года. На самом деле, их не так много (не более 20). Сегодня работаем с двумя реальными задачами ЕГЭ 2021 на параллельный электролиз.

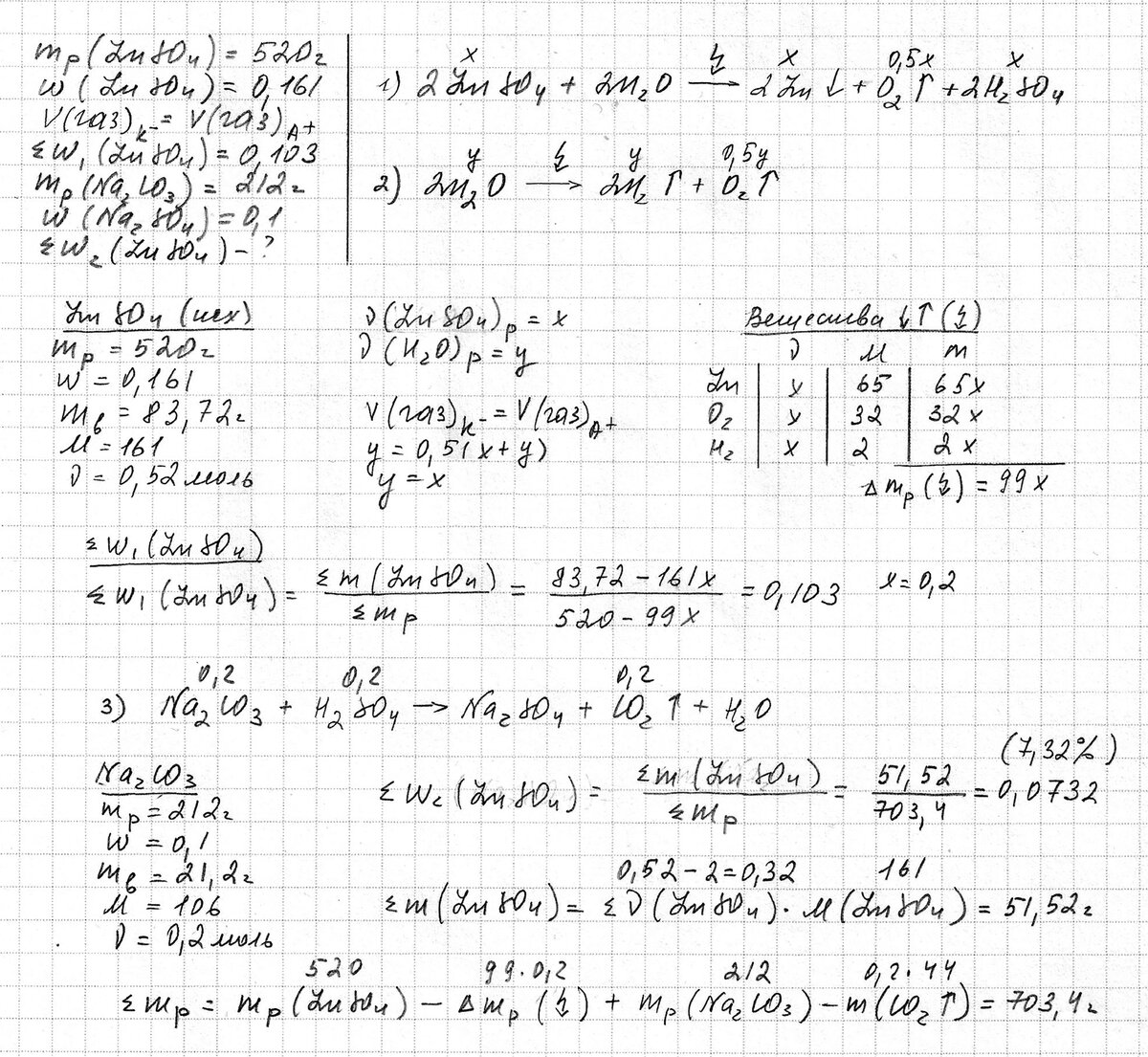
1. Через 520 г 16,1%-ного раствора сульфата цинка пропускали электрический ток до тех пор, пока объем газа, выделившегося на катоде, не стал равен объему газа, выделившемуся на аноде. При этом массовая доля сульфата цинка понизилась до 10,3%. К полученному раствору добавили 212 г 10% раствора карбоната натрия. Вычислите массовую долю сульфата цинка в полученном растворе (Ответ: 7,32%)
2. Через 400 г 36%-ного раствора нитрата железа (II) пропустили электрический ток, пока объём газа, выделившегося на катоде, не стал в 2 раза меньше объёма газа, выделившегося на аноде. В полученном растворе массовая доля нитрата железа (II) уменьшилась до 10,19%. К полученному раствору прилили 120 г 40%-ного раствора карбоната аммония. Определите массовую долю нитрата железа (II) в конечном растворе. Окислением ионов железа 2+ и их осаждением в прикатодном пространстве пренебречь (Ответ: 7,98%)

Решаем одну из задач и проводим ее тщательный анализ

Задача 1

Через 520 г 16,1%-ного раствора сульфата цинка пропускали электрический ток до тех пор, пока объем газа, выделившегося на катоде, не стал равен объему газа, выделившемуся на аноде. При этом массовая доля сульфата цинка понизилась до 10,3%. К полученному раствору добавили 212 г 10% раствора карбоната натрия. Вычислите массовую долю сульфата цинка в полученном растворе (Ответ: 7,32%)
Реальная задача ЕГЭ по химии 2021. Решает репетитор Богунова В.Г.
Реальная задача ЕГЭ по химии 2021. Решает репетитор Богунова В.Г.

Анализ алгоритма

1. Как вы помните, решение каждой задачи по химии включает четыре основных блока (шага, позиции): выписать данные в разделе Дано, написать уравнения реакций, сделать предварительные расчеты, построить модель алгоритма, основываясь на системе химических процессов и вопроса задачи.

2. Особенностью химических процессов в первом блоке задачи является параллельный электролиз. Что это такое?

Параллельный электролиз - это электролиз растворов солей, катионы которых представлены металлами, расположенными в Ряду активности металлов после алюминия до водорода.

Ряд активности металлов
Ряд активности металлов

В школьных учебниках написано, что в таких случаях на катоде происходит восстановление металла и водорода (из воды) одновременно (параллельно). Однако, при решении задач и выполнении расчетов не все представляют, как записать эти уравнения реакций.

Запомните!

Если протекает электролиз раствора соли, катион которой представлен металлом, расположенным в ряду активности после алюминия до водорода, необходимо писать ДВА уравнения реакции электролиза - собственно электролиза соли и электролиза воды.

3. Выполняем предварительные расчеты - определяем количества вещества сульфата цинка, который находился в растворе до электролиза (0,52 моль).

4. Судя по вопросу задачи (Вычислите массовую долю сульфата цинка в полученном растворе), электролиз соли прошел не до конца и разложилось только часть сульфата цинка. Примем за Х количество вещества соли, вступившей в реакцию электролиза, а за Y - количества вещества воды, разложившейся в процессе электролиза. Сделаем расчеты по уравнениям реакций в общем виде.

5. Очевидно, что на катоде выделился водород, а на аноде - кислород. Согласно условию задачи, объемы газов равны, это значит, что равны количества вещества газов. Составляем алгебраическое уравнение и находим, что Х = Y (и наоборот).

6. Согласно условию задачи, массовая доля сульфата цинка понизилась до 10,3%. В соответствии с этим записываем модель алгоритма первого блока задачи - через Σധ (авторский алгоритм, о котором я уже много раз писала). Для этого определяем массу сульфата цинка после электролиза (83,72 - 161х), массу всех веществ, выделившихся на электродах (99х) и массу раствора после электролиза (520 - 99х). Все это приравниваем к Σധ сульфата цинка, равной 0,108 (в долях единицы).

Находим Х - количество вещества сульфата цинка, вступившего в электролиз (0,2 моль).

7. Дальнейшее решение задачи уже не представляет сложности. Записываем уравнение реакции карбоната натрия с серной кислотой. При этом количество вещества сульфата цинка не меняется, но меняется масса раствора за счет улетевшего углекислого газа.

8. Составляем конечную модель алгоритма - через Σധ. Для этого определяем количество вещества сульфата цинка, оставшегося после электролиза и его массу (51,52 г), а также массу конечного раствора.

Масса конечного раствора формировалась, исходя из массы исходного раствора сульфата цинка (520 г) за вычетом массы веществ, выделившихся на электродах (-99⋅0,2), затем последующего добавления раствора карбоната натрия (+212 г) за вычетом массы улетевшего углекислого газа (-0,2⋅44). Масса конечного раствора составила 703,4 г.

В результате массовая доля сульфата цинка в полученном растворе составила 0,0732 (в долях единицы) или 7,32%

Продолжаем работать

Дальнейший процесс обучения строится на решении ряда простых задач, составленных на основе реальной (можно импровизировать, внося новые несложные элементы алгоритмики) и очень сложных задач, в которых система процессов и цифровые данные берутся от оригинальной задачи, но каждый ее блок существенно модифицируется за счет сложных элементов алгоритмики, используемых в ЕГЭ. Предлагаю несколько авторских вариантов таких заданий.

Простые задачи (автор Богунова В.Г.)

1. Через 520 г 16,1%-ного раствора сульфата цинка пропускали электрический ток до тех пор, пока число молекул газа, выделившихся на катоде стало в пять раз меньше числа Авогадро и сравнялось с числом молекул газа выделившихся на аноде. Вычислите массу металла, восстановившегося в процессе электролиза (Ответ: 13 г)
2. 1. Через 520 г 16,1%-ного раствора сульфата цинка пропускали электрический ток до тех пор, пока число молекул газов, выделившихся на катоде и аноде составило 40% от числа Авогадро, а плотность газов стала равной 0,7589 г/л. Вычислите массу соли, разложившейся в процессе электролиза (Ответ: 32,2 г)
3. Через 520 г раствора сульфата цинка, содержащего 81% кислорода по массе пропускали электрический ток до тех пор, пока на катоде и аноде не выделилось 8,96 л газов с плотностью по водороду 8,5. Вычислите массу кислоты, образовавшейся в растворе после электролиза (Ответ: 19,6 г)

Сложная задача (автор Богунова В.Г.)

Сложная задача на параллельный электролиз. Автор Богунова В.Г.
Сложная задача на параллельный электролиз. Автор Богунова В.Г.

Еще раз про подготовку к ЕГЭ по химии 2022

Авторский курс "Алгоритмика химии" пользуется огромной популярностью, поскольку все мои выпускники сдают ЕГЭ по химии от 85+! Еще есть время, чтобы закрепить навыки по решению сложных задач. Присоединяйтесь!
Желторотики! Жду вас летом на курсе "Стартап+ (химия с нуля по-взрослому)"! К концу лета по решению задач вы переплюнете собственных преподавателей химии! Записывайтесь уже сейчас - к июню все места будут заняты!

Анонс!

В следующих статьях я расскажу о решении задач на электролиз с двумя солями, электролиз с последовательными электродами, научу делать расчеты с количеством вещества электронов, прошедших через электролизер.

Понравилась статья? Скоро будет продолжение. Самое интересное, как всегда, впереди! Успехов и удачи! До встречи на Яндекс Дзен!

Подписывайся на мой канал, ставь лайк под статьей и приходи ко мне не занятия! Ты научишься правильно учиться, поймешь и полюбишь химию, сдашь ЕГЭ на 95+ и поступишь в ВУЗ своей мечты!

WhatsApp репетитора Богуновой В.Г. +7(903)186-74-55


Репетитор по химии и биологии кбн В.Богунова