Найти в Дзене

Ужас ужасный! Такого на ЕГЭ не было никогда! Последовательные электролизеры

Вы хотите познавать химию и профессионально, и с удовольствием? Тогда вам сюда! Автор методики системно-аналитического изучения химии Богунова В.Г. раскрывает тайны решения задач, делится секретами мастерства при подготовке к ОГЭ, ЕГЭ, ДВИ, олимпиадам Хочешь сдать ЕГЭ по химии и биологии на 90+? WhatsApp репетитора Богуновой В.Г. +7(903)186-74-55 Сайт репетитора Богуновой В.Г. Репетитор Богунова В.Г. ВК Ютуб-канал репетитора Богуновой В.Г. Полный каталог статей - на авторском сайте в разделе "Статьи репетитора Богуновой В.Г." Я предупреждала, ближе к концу апреля мои подружки-сороки начнут активизироваться и... принесут что-нибудь интересное. Так и случилось. На днях одна из белобок принесла мне в клювике весьма необычную задачу. Ничего не буду говорить о ее происхождении - сама толком ничего не поняла, ведь сороки не могут говорить по-русски, а я понимаю сорочий язык исключительно со словарем. Однако, вернемся к задаче, которая, простите за тавтологию, меня несколько озадачила. Почем

Вы хотите познавать химию и профессионально, и с удовольствием? Тогда вам сюда! Автор методики системно-аналитического изучения химии Богунова В.Г. раскрывает тайны решения задач, делится секретами мастерства при подготовке к ОГЭ, ЕГЭ, ДВИ, олимпиадам

Хочешь сдать ЕГЭ по химии и биологии на 90+? WhatsApp репетитора Богуновой В.Г. +7(903)186-74-55

Сайт репетитора Богуновой В.Г.

Репетитор Богунова В.Г. ВК

Ютуб-канал репетитора Богуновой В.Г.

Полный каталог статей - на авторском сайте в разделе "Статьи репетитора Богуновой В.Г."

Я предупреждала, ближе к концу апреля мои подружки-сороки начнут активизироваться и... принесут что-нибудь интересное. Так и случилось. На днях одна из белобок принесла мне в клювике весьма необычную задачу. Ничего не буду говорить о ее происхождении - сама толком ничего не поняла, ведь сороки не могут говорить по-русски, а я понимаю сорочий язык исключительно со словарем.

Однако, вернемся к задаче, которая, простите за тавтологию, меня несколько озадачила. Почему? Такие задания (только в гораздо более сложном варианте) были широко представлены в билетах вступительных экзаменов 2-го Меда (автор И.Ю. Белавин) глубоко до 2009 года (т.е. до ЕГЭ). В задачах ЕГЭ такой элемент алгоритмики не встречался НИКОГДА!

Особенность представленного алгоритма - яркая физическая составляющая (законы Фарадея) и расчеты на основании закона эквивалентов. Все это не так сложно, как кажется, если бы не одно НО: из профильного курса Химии полностью исключили "чистую физику". Кроме того, все расчеты мы строим по закону кратных отношений Дальтона (или объемных отношений Гей-Люссака), а закон эквивалентов изучаем вскользь (на всякий случай, чтобы было), практически его не используя.

Я немного почесала в затылке - давненько мне не приходилось включать свои методические мозги на полную мощь. Ребята не должны воспринять этот алгоритм как нечто инородное, он должен абсолютно логично вписаться в уже привычную систему решения задач. Как включить в решение задачи физику, чтобы она при этом не прозвучала, и сделать расчеты по эквивалентным отношениям, не используя закон эквивалентов?! Мне кажется, у меня получилось. Впрочем, смотрите сами.

Конечно же, я не публикую оригинал задачи. А зачем? Чтобы меня "расстреляли за разглашение"? Не дождетесь! Я составила точный аналог задачи, но... с другими веществами.

Задача

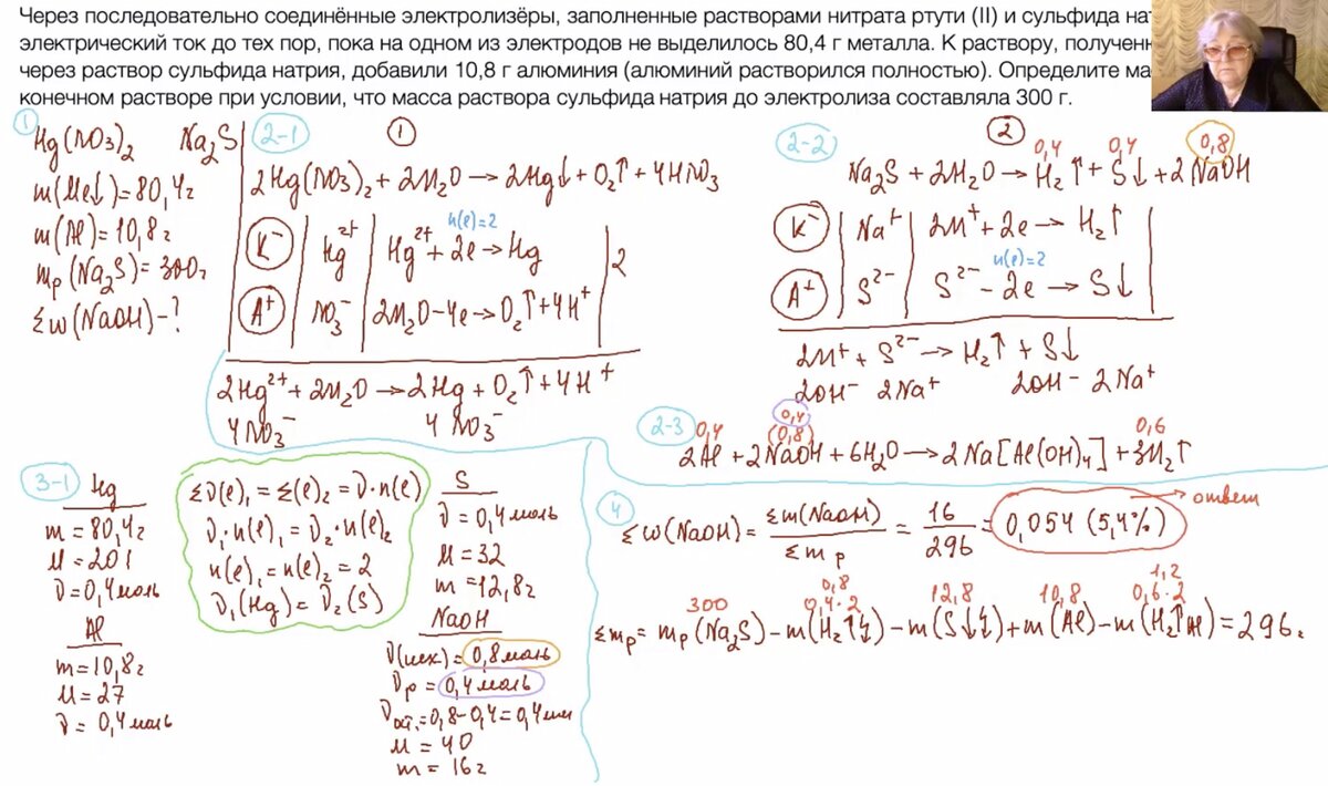
Через последовательно соединённые электролизёры, заполненные растворами нитрата ртути (II) и сульфида натрия, пропускали электрический ток до тех пор, пока на одном из электродов не выделилось 80,4 г металла. К раствору, полученному после прохождения тока через раствор сульфида натрия, добавили 10,8 г алюминия (алюминий растворился полностью). Определите массовую долю щелочи в конечном растворе при условии, что масса раствора сульфида натрия до электролиза составляла 300 г.
Задача по химии. Решает репетитор Богунова В.Г.
Задача по химии. Решает репетитор Богунова В.Г.

Если тяжело разобраться по уже готовой системе решения, посмотрите фрагмент урока с объяснением решения этой задачи

PS Я продолжаю работать над алгоритмом, поскольку он мне понравился. Даже очень понравился. Кстати, это не предел. С электролизом И.Ю. Белавин вытворял ТАКОЕ! Вы даже представить себе не можете! И все это вполне может появиться на ЕГЭ по химии!

Понравилась статья? Скоро будет продолжение. Самое интересное, как всегда, впереди! Успехов и удачи! До встречи на Яндекс Дзен! Не забывайте подписаться на мой канал и поставить лайк!

Репетитор по химии и биологии кбн В.Богунова