Найти в Дзене
Математика не для всех

Красивое и простое математическое доказательство почти без слов

Приветствую Вас, уважаемые Читатели! Сегодня покажу вам очередное доказательство, которое использует геометрическую интуицию, вместо классических формул. Итак, требуется доказать, что: Конечно, этот пример из 8-9-го класса общеобразовательной школы, когда дети впервые знакомятся с понятием геометрической прогрессии. Используя стандартные формулы, доказательство можно привести в две строчки: Но это же не интересно, как и в случае с теоремой Пифагора, ведь именно геометрические доказательства этого утрверждения обладают неповторимым шармом. Кстати, я думаю, что Вы догадывались, что теорема Пифагора - это часть чего-то большего: Для нашего доказательства возьмем квадрат со стороной 1 и разделим его на треугольники следующим образом: Теперь посмотрим, чему равны площади оставшихся незакрашенными треугольников: А теперь посмотрим, что получилось:

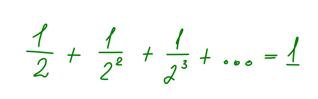
Приветствую Вас, уважаемые Читатели! Сегодня покажу вам очередное доказательство, которое использует геометрическую интуицию, вместо классических формул. Итак, требуется доказать, что:

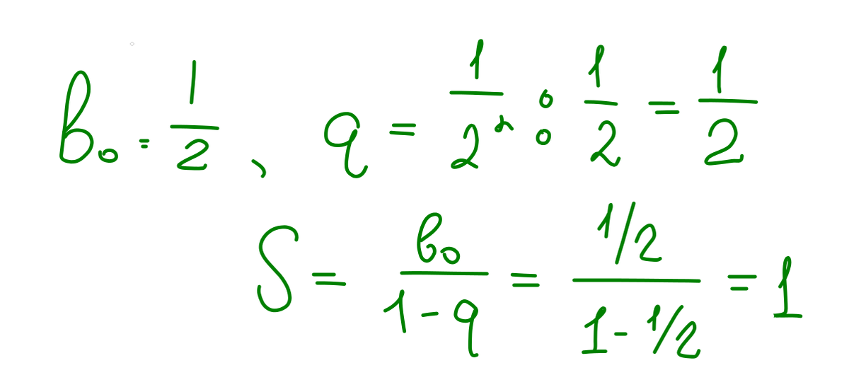
Конечно, этот пример из 8-9-го класса общеобразовательной школы, когда дети впервые знакомятся с понятием геометрической прогрессии. Используя стандартные формулы, доказательство можно привести в две строчки:

-2

Но это же не интересно, как и в случае с теоремой Пифагора, ведь именно геометрические доказательства этого утрверждения обладают неповторимым шармом.

Кстати, я думаю, что Вы догадывались, что теорема Пифагора - это часть чего-то большего:

Для нашего доказательства возьмем квадрат со стороной 1 и разделим его на треугольники следующим образом:

-3

Теперь посмотрим, чему равны площади оставшихся незакрашенными треугольников:

-4

А теперь посмотрим, что получилось:

-5
  • Спасибо за внимание!
  • TELEGRAM и Вконтакте- там я публикую не только интересные статьи, но и математический юмор и многое другое.
Наука
7 млн интересуются