Найти в Дзене

Задачи на газы - надежные, как Газпром. 1. Состав смеси газов

Вы хотите познавать химию и профессионально, и с удовольствием? Тогда вам сюда! Автор методики системно-аналитического изучения химии Богунова В.Г. раскрывает тайны решения задач, делится секретами мастерства при подготовке к ОГЭ, ЕГЭ, ДВИ и олимпиадам

Ко Дню Учителя коллеги сделали великолепный подарок - статьи, посвященные мне и моей методике алгоритмики, опубликованные на любимом канале Яндекс Дзен! Автор публикаций - известный математик, чье имя украшает многие учебники. Благодаря статьям почитаемой личности, мой рейтинг вырос на порядок (за это - отдельное спасибо!), а телефон буквально расплавился от количества звонков с просьбой взять ребенка на курс подготовки. Но самое важное - коллега-математик подтвердил правильность утверждения, которое я развиваю постоянно в своей работе и почти два года в статьях - нет пропорции, да здравствуют формулы и система!

Воодушевленная более чем значимым подарком, я с утроенной силой взялась за публикации задач - простых и сложных, ЕГЭ-шных и олимпиадных, стандартных и запутанных до предела, "нерешаемых".

Сегодня поговорим и газах, вернее и смесях газов. Эти задачи доводят учеников (и многих учителей) практически до нервного срыва. Понимая сложности, с которыми сталкиваются ребята при изучении алгоритмов "газовых задач", я разложила по полочкам технологию решения на примере конкретной задачи и предложила решения еще несколько задач разной логической сложности для самостоятельного анализа.

Фото решения задач сделано в процессе занятия с моими учениками. Читайте, разбирайтесь. Задачи на газы - самый лучший инструмент для развития логического мышления и хороший тренинг для алгоритмики.

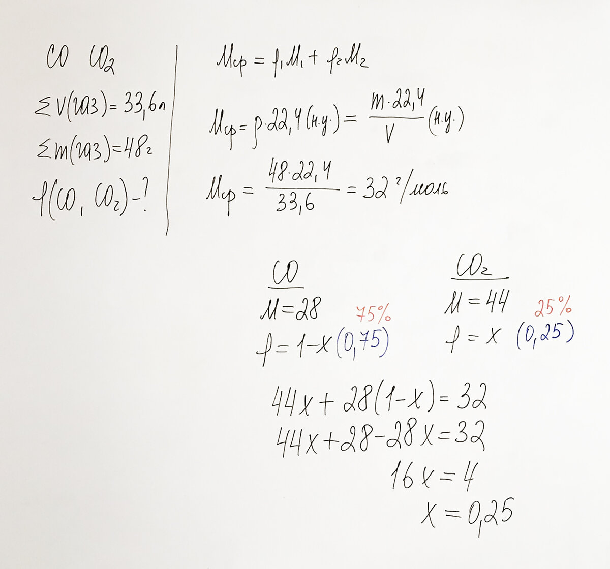
1 задача (с описанием технологии алгоритмики)

Плотность по водороду смеси кислорода и азота составляет 15,5. Вычислите объемные доли газов и массовую долю азота

2 задача

33,6 л смеси угарного газа и углекислого газа имеют массу 48 г. Рассчитайте объемные доли компонентов в смеси
-2

3 задача

При каком молярном соотношении аргона и азота можно получить газовую смесь с плотностью, равной плотности воздуха?
-3

Уверена, представленные задачи вам и понравятся, и принесут пользу в покорении высот алгоритмики. В следующих статьях продолжу цикл задач на газы. У меня есть чем вас удивить!

Вы хотите сдавать ЕГЭ по химии и биологии? Обязательно посетите мой сайт Репетитор по химии и биологии. Здесь вы найдете огромное количество задач, заданий, теоретического материала и познакомитесь с моими учениками.
На странице ВК я анонсирую свои публикации, вебинары, уроки, рассказываю и показываю решение задач и заданий, выкладываю новинки теоретического материала, конспекты и лекции. Добавляйтесь ко мне в друзья, и вы всегда будете в курсе всех событий, связанных с подготовкой к ЕГЭ, ДВИ, олимпиадам!
Полный каталог статей репетитора Богуновой В.Г. вы найдете на странице сайта Статьи репетитора
Подписывайтесь на YouTube-канал Репетитор по химии и биологии. Здесь ежедневно появляются новые вебинары, видео-уроки, видео-консультации, видео-решения.
Пишите мне в WhatsApp +7(903)186-74-55, я отвечу вам обязательно.
Приходите ко мне на занятия, я помогу вам фундаментально изучить химию и биологию, научу решать любые задачи, даже самые сложные.

Репетитор по химии и биологии кбн В.Богунова