Добавить в корзинуПозвонить
Найти в Дзене
Control myLab

Как рассчитать систематическую (приборную) погрешность прямого измерения

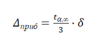
Для любого прибора характерно отклонение показаний от фактического значения измеряемой величины. Данное диапазон характеризуется приборной погрешностью. Не известно точно, чему равна приборная погрешность, и как именно она искажает конкретное измерение. Тем самым по своей сути она близка к случайной погрешности, не смотря на то, что является систематической. Для оценки систематической приборной погрешности также применяют методы математической статистики: Здесь дельта − приборная погрешность, соответствующая выбранной доверительной вероятности "а"; t - коэффициент Стьюдента при выбранной доверительной вероятности "a" и числе измерений n, стремящемся к бесконечности; б – максимальная приборная погрешность. Величина максимальной приборной погрешности зависит от прибора. 1. Для стрелочных электроизмерительные приборов, у которых указан класс точности: где A наибольшее значение, которое может быть измерено по шкале прибора; K - класс точности прибора. 2. Для цифровых приборов максимальная

Для любого прибора характерно отклонение показаний от фактического значения измеряемой величины. Данное диапазон характеризуется приборной погрешностью.

Не известно точно, чему равна приборная погрешность, и как именно она искажает конкретное измерение. Тем самым по своей сути она близка к случайной погрешности, не смотря на то, что является систематической.

Для оценки систематической приборной погрешности также применяют методы математической статистики:

Здесь дельтаприборная погрешность, соответствующая выбранной доверительной вероятности "а"; t - коэффициент Стьюдента при выбранной доверительной вероятности "a" и числе измерений n, стремящемся к бесконечности; бмаксимальная приборная погрешность.

Величина максимальной приборной погрешности зависит от прибора.

1. Для стрелочных электроизмерительные приборов, у которых указан класс точности:

-2

где A наибольшее значение, которое может быть измерено по шкале прибора; K - класс точности прибора.

2. Для цифровых приборов максимальная приборная погрешность обычно указывается в паспорте прибора.

3. Если при измерениях используется прибор, у которого класс точности неизвестен или прибор не имеет класса точности (например, измерительная линейка или секундомер), максимальную приборную погрешность принимают равной цене наименьшего деления его шкалы.

В существенном числе лабораторных задач, при величине доверительной вероятности 95%, погрешность измерительного прибора можно принять равной половине цены деления.