Добавить в корзинуПозвонить
Найти в Дзене
Широков Александр

Школьные задачи / Алгебра / А-115

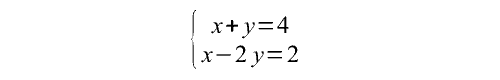
Решите систему уравнений: Рассмотрим случаи с разными знаками подмодульных выражений в первом уравнении системы. Всего их возможно четыре. а) x ⩾ 0, x – 2y ⩾ 0 В этом случае исходную систему можно переписать в виде Для её решения вычтем из первого уравнения второе, а из второго выразим x: Пара чисел x = ¹⁰/₃, y = ²/₃ удовлетворяют требованиям x ⩾ 0 и x – 2y ⩾ 0 (условия, с которыми раскрывались модули в исходной системе). Это означает, что рассматриваемые числа действительно являются решениями системы. б) x ⩾ 0, x – 2y < 0 Здесь Пара чисел x = 2, y = 2 удовлетворяет требованиям x ⩾ 0 и x – 2y < 0, поэтому также является решением исходной системы уравнений. в) x < 0, x – 2y ⩾ 0 Имеем: Легко проверить, что числа x = –10, y = –6 подходят под требования x < 0,
x – 2y ⩾ 0, то есть действительно являются решениями. г) x < 0, x – 2y < 0 При отрицательных значениях подмодульных выражений получается, что Как и в других случаях, пара x = –6, y = –2 соответствует требованиям x < 0, x – 2y < 0,
Оглавление

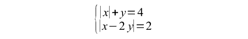
Задание

Решите систему уравнений:

Решение

Рассмотрим случаи с разными знаками подмодульных выражений в первом уравнении системы. Всего их возможно четыре.

а) x ⩾ 0, x – 2y ⩾ 0

В этом случае исходную систему можно переписать в виде

-2

Для её решения вычтем из первого уравнения второе, а из второго выразим x:

-3

Пара чисел x = ¹⁰/₃, y = ²/₃ удовлетворяют требованиям x ⩾ 0 и x – 2y ⩾ 0 (условия, с которыми раскрывались модули в исходной системе). Это означает, что рассматриваемые числа действительно являются решениями системы.

б) x ⩾ 0, x – 2y < 0

Здесь

-4

Пара чисел x = 2, y = 2 удовлетворяет требованиям x ⩾ 0 и x – 2y < 0, поэтому также является решением исходной системы уравнений.

в) x < 0, x – 2y ⩾ 0

Имеем:

-5

Легко проверить, что числа x = –10, y = –6 подходят под требования x < 0,
x – 2y ⩾ 0, то есть действительно являются решениями.

г) x < 0, x – 2y < 0

При отрицательных значениях подмодульных выражений получается, что

-6

Как и в других случаях, пара x = –6, y = –2 соответствует требованиям x < 0, x – 2y < 0, следовательно тоже является решением системы.

Таким образом, исходная система уравнений имеет четыре решения.

Ответ

(¹⁰/₃; ²/₃), (2; 2), (–10; –6), (–6; –2)

Комментарий

Рассмотрим графический способ решения системы.

Первое её уравнение можно преобразовать, представив как выражение функции y(x):

y = 4 – |x|

Последовательно применив к графику y = x Правило 8(ш), Правило 3(ш) и Правило 1(ш) получим график y(x).

Для построения графика второго уравнения можно действовать аналогично, как это было в задании А-111:

-7

Приведённые преобразования показывают, что искомый график представляет собой две параллельные линии. Решения системы есть точки пересечения графиков её уравнений:

-8

Как видно, эти точки располагаются в вершинах трапеции и имеют координаты (¹⁰/₃; ²/₃), (2; 2), (–10; –6), (–6; –2).

Другие задания, имеющиеся на канале, можно найти здесь:

Школьные задачи | Широков Александр | Дзен

-9

Перечень публикаций на канале
Широков Александр2 декабря 2020

Сведения о новых статьях блога можно найти в Telegram-канале Shuric_Himik