Добавить в корзинуПозвонить
Найти в Дзене
Широков Александр

Школьные задачи / Алгебра / А-112

Решите систему уравнений: Для решения рассмотрим разные знаки подмодульных выражений. а) x + y ⩾ 0, x – y ⩾ 0 В этом случае исходную систему можно переписать в виде Для её решения сложим первое уравнением со вторым, а из второго выразим y: Пара чисел x = 1, y = 0 при подстановке в x + y ⩾ 0 и в x – y ⩾0 (условия, с которыми раскрывались модули в исходной системе) обращает эти выражения в верные числовые неравенства. Это означает, что рассматриваемые числа действительно являются решениями системы. б) x + y ⩾ 0, x – y < 0 Здесь Пара чисел x = 0, y = 1 удовлетворяет требованиям x + y ⩾ 0 и x – y < 0, поэтому также является решением исходной системы уравнений. в) x+ y < 0, x– y ⩾0 Имеем: Легко проверить, что числа x = 0, y = –1 соответствует условиям раскрытия модулей и потому являются решениями. г) x + y < 0, x – y < 0 При отрицательных значениях подмодульных выражений получается, что Как и в других случаях, пара x = –1, y = 0 соответствует требованиям x + y < 0, x – y < 0, следовател
Оглавление

Задание

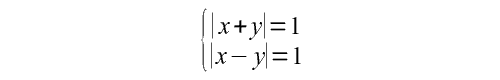
Решите систему уравнений:

Решение

Для решения рассмотрим разные знаки подмодульных выражений.

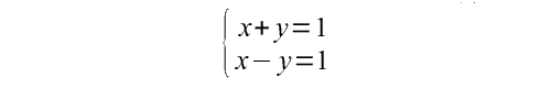
а) x + y ⩾ 0, xy ⩾ 0

В этом случае исходную систему можно переписать в виде

-2

Для её решения сложим первое уравнением со вторым, а из второго выразим y:

-3

Пара чисел x = 1, y = 0 при подстановке в x + y ⩾ 0 и в x y ⩾0 (условия, с которыми раскрывались модули в исходной системе) обращает эти выражения в верные числовые неравенства. Это означает, что рассматриваемые числа действительно являются решениями системы.

б) x + y ⩾ 0, xy < 0

Здесь

-4

Пара чисел x = 0, y = 1 удовлетворяет требованиям x + y ⩾ 0 и x y < 0, поэтому также является решением исходной системы уравнений.

в) x+ y < 0, xy ⩾0

Имеем:

-5

Легко проверить, что числа x = 0, y = –1 соответствует условиям раскрытия модулей и потому являются решениями.

г) x + y < 0, x y < 0

При отрицательных значениях подмодульных выражений получается, что

-6

Как и в других случаях, пара x = –1, y = 0 соответствует требованиям x + y < 0, x y < 0, следовательно тоже является решением системы.

Таким образом, исходная система уравнений имеет четыре решения.

Ответ

(1; 0), (0; 1), (0; –1), (–1; 0)

Комментарий

Решить систему можно графически. Ранее в задании А-111 было рассмотрено построение графиков уравнений |x + y| – 1 = 0 и |x y| – 1 = 0 – они соответственно равносильны первому и второму уравнениям системы. Решения её есть точки пересечения этих графиков:

-7

Как видно, эти точки располагаются в вершинах квадрата и имеют координаты (1; 0), (0; 1), (0; –1) и (–1; 0).

Другие задания, имеющиеся на канале, можно найти здесь:

Школьные задачи | Широков Александр | Дзен

-8

Перечень публикаций на канале
Широков Александр2 декабря 2020

Сведения о новых статьях блога можно найти в Telegram-канале Shuric_Himik

-9

Наука
7 млн интересуются