Добавить в корзинуПозвонить
Найти в Дзене

Примеры решения типовых заданий ВПР. Задание №9. Вариант 18.

Уже в начальных классах школьники знают, что в выражениях без скобок действия выполняются слева направо, при этом сначала выполняется умножение и деление, а затем — сложение и вычитание. В выражениях же со скобками сначала выполняются действия в скобках, а потом также по порядку слева направо выполняется умножение и деление, затем — сложение и вычитание. Поэтому данный пример надо решать в четыре действия: Для решения первогого действия мы использовали правило деления дробей. У чисел 39 и 15 наибольший общий делитель равен 3, а у чисел 16 и 8 — 8. Пользуясь основным свойством дроби (§7) мы сократили числители и знаменатели множителей на их наибольшие общие делители. Для решения второго действия мы использовали правило умножения двух дробей. У чисел 52 и 13 наибольший общий делитель равен 13, а у чисел 9 и 27 — 9. Пользуясь основным свойством дроби (§7) мы сократили числители и знаменатели множителей на их наибольшие общие делители.
Оглавление

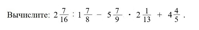
Условие задачи:

-2

Решение:

Уже в начальных классах школьники знают, что в выражениях без скобок действия выполняются слева направо, при этом сначала выполняется умножение и деление, а затем — сложение и вычитание.

В выражениях же со скобками сначала выполняются действия в скобках, а потом также по порядку слева направо выполняется умножение и деление, затем — сложение и вычитание.

Поэтому данный пример надо решать в четыре действия:

-3

Для решения первогого действия мы использовали правило деления дробей.

У чисел 39 и 15 наибольший общий делитель равен 3, а у чисел 16 и 8 — 8. Пользуясь основным свойством дроби (§7) мы сократили числители и знаменатели множителей на их наибольшие общие делители.

-4

Для решения второго действия мы использовали правило умножения двух дробей.

У чисел 52 и 13 наибольший общий делитель равен 13, а у чисел 9 и 27 — 9. Пользуясь основным свойством дроби (§7) мы сократили числители и знаменатели множителей на их наибольшие общие делители.

-5