Найти в Дзене

Примеры решения типовых заданий ВПР. Задание №9. Вариант 16.

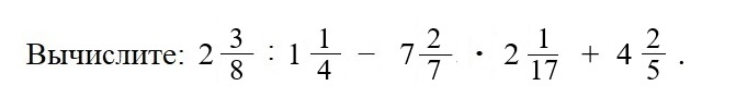
Условие задачи:

-2

Решение:

Уже в начальных классах школьники знают, что в выражениях без скобок действия выполняются слева направо, при этом сначала выполняется умножение и деление, а затем — сложение и вычитание.

В выражениях же со скобками сначала выполняются действия в скобках, а потом также по порядку слева направо выполняется умножение и деление, затем — сложение и вычитание.

Поэтому данный пример надо решать в четыре действия:

-3

Для решения первогого действия мы использовали правило деления дробей.

У чисел 8 и 4 наибольший общий делитель равен 4. Пользуясь основным свойством дроби (§7) мы сократили числитель 4 и знаменатель 8 на 4 и получили вместо 4 — 1, а вместо 8 — 2.

-4

Для решения второго действия мы использовали правило умножения двух дробей.

У чисел 51 и 17 наибольший общий делитель равен 17, а у чисел 7 и 35 — 7. Пользуясь основным свойством дроби (§7) мы сократили числители и знаменатели множителей на их наибольшие общие делители.

-5