Найти в Дзене
Репетитор IT men

Математический детектив: Кто и зачем изобрел производную?

Главными сыщиками в этом историческом детективе были, конечно же, Ньютон и Лейбниц. Зачем вообще это понадобилось? Представьте XVII век. Бурное развитие механики, астрономии и физики уперлось в три гигантские проблемы: ▪️ 1. Проблема скорости: Как определить мгновенную скорость тела, если оно движется неравномерно? По старой формуле «путь/время» можно найти только среднюю скорость. А как узнать, с какой скоростью пуля летит в конкретный момент? Ведь в реальности машина не стартует мгновенно со скоростью 60 км/ч и не останавливается мгновенно до 0 км/ч, как в книгах по школьной алгебре. ▪️ 2. Проблема касательной: Как провести идеальную касательную к любой кривой? Это было критически важно для оптики (расчет линз) и баллистики (траектория ядра). А оптика и баллистика нужны были в военном деле и навигации — важные причины развития математики. ▪️ 3. Проблема максимума и минимума: Как точно найти самую высокую точку на траектории или определить наивыгоднейшие размеры для корабельной мачты
Оглавление

Главными сыщиками в этом историческом детективе были, конечно же, Ньютон и Лейбниц. Зачем вообще это понадобилось? Представьте XVII век. Бурное развитие механики, астрономии и физики уперлось в три гигантские проблемы:

▪️ 1. Проблема скорости: Как определить мгновенную скорость тела, если оно движется неравномерно? По старой формуле «путь/время» можно найти только среднюю скорость. А как узнать, с какой скоростью пуля летит в конкретный момент? Ведь в реальности машина не стартует мгновенно со скоростью 60 км/ч и не останавливается мгновенно до 0 км/ч, как в книгах по школьной алгебре.

▪️ 2. Проблема касательной: Как провести идеальную касательную к любой кривой? Это было критически важно для оптики (расчет линз) и баллистики (траектория ядра). А оптика и баллистика нужны были в военном деле и навигации — важные причины развития математики.

▪️ 3. Проблема максимума и минимума: Как точно найти самую высокую точку на траектории или определить наивыгоднейшие размеры для корабельной мачты? Вот они те самые экстремальные задачи математики.

Репетитор IT men

Ученые, которые решили эти задачи

Все эти, казалось бы, разные вопросы имели один и тот же ответ — производная. Двойное открытие: Ньютон vs Лейбниц. Они совершили это почти в одно время (разница ~9 лет). Результат — громкий спор о приоритете, но мир в итоге получил два мощных подхода к одному и тому же понятию.

▪️ Исаак Ньютон пришел к идее производной (называл ее флюксией) около 1666 года, работая над своими законами движения и тяготения. Он думал о величинах, которые меняются со временем (скорость, поток). Но Ньютон был знаменитым «тугописцем» и не спешил публиковать свои работы.

▪️ Готфрид Вильгельм Лейбниц независимо пришел к тем же идеям около 1675 года, но с другой стороны. Его интересовала геометрия — проведение касательных и вычисление площадей. Именно Лейбниц ввел удобную запись dy/dx, которую мы используем до сих пор.

Малоизвестные факты о производной:

〰️ Функция может быть непрерывной, но не иметь производной. Это открыл математик Карл Вейерштрасс, построив пример функции, которая непрерывна везде, но ни в одной точке к ней нельзя провести касательную. Она похожа на бесконечно мелкую "пилу". Это сломало интуицию многих современников.

Производная есть даже у функций, заданных таблицей. Мы не всегда можем найти красивую формулу, но аппроксимировать значение производной в точке по табличным данным — одна из основных задач численных методов.

Парадокс: производная константы равна нулю. Казалось бы, ерунда. Но именно этот факт — краеугольный камень для решения уравнений. Если скорость изменения чего-либо равна нулю, значит, это "что-либо" находится в экстремуме (на пике или в яме).

📚 Как сформировалась таблица производных?

-2

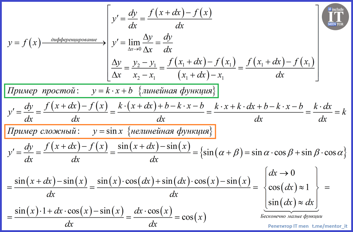
Здесь на прикрепленной картинке я показал вам вывод для двух табличных функций. Первые «таблицы» были рукотворными. Математики брали конкретные функции и кропотливо вычисляли предел отношения приращения функции к приращению аргумента.

▫️ Для линейной функции f(x) = k⋅x + b все было просто: угловой коэффициент k и есть производная.

▫️ Для квадратичной функции f(x) = x² Лейбниц и Ньютон доказали, что производная равна 2x.

▫️ Для синуса и косинуса производные были найдены с помощью геометрических соображений и формулы приведения.

📝 Со временем были обнаружены общие правила:

▫️ Правило линейности: (a⋅f + b⋅g)' = a⋅f' + b⋅g' , где a, b = const.

▫️ Правило произведения (Лейбниц): (f⋅g)' = f'⋅g + f⋅g' (сюда же можно отнести правило частного)

▫️ Цепное правило: (f(g(x)))' = f'(g(x)) ⋅ g'(x)

Эти правила позволили «собирать» производные сложных функций из производных простых, как из кубиков LEGO. Так и родилась наша любимая таблица, которую зубрят все студенты — она стала плодом труда многих математиков, систематизировавших эти «кирпичики». Производная — это не абстракция. Это язык, на котором говорят физика, экономика, биология и машинное обучение. Она родилась из насущных проблем.

Понравилась статья? Дайте обратную связь в комментариях. Напишите ваше мнение, идеи, мысли 😉

Если Вам нужен репетитор по физике, математике или информатике/программированию, Вы можете написать мне или в мою группу Репетитор IT mentor в VK

Библиотека с книгами для физиков, математиков и программистов
Репетитор IT mentor в VK
Репетитор IT mentor в telegram