Найти в Дзене

Примеры решения типовых заданий ВПР. Задание №9. Вариант 14.

Уже в начальных классах школьники знают, что в выражениях без скобок действия выполняются слева направо, при этом сначала выполняется умножение и деление, а затем — сложение и вычитание. В выражениях же со скобками сначала выполняются действия в скобках, а потом также по порядку слева направо выполняется умножение и деление, затем — сложение и вычитание. Поэтому данный пример надо решать в четыре действия: Чтобы сложить (вычесть) дроби с разными знаменателями, надо привести их к общему знаменателю, а затем применить правило сложения (вычитания) дробей с одинаковыми знаменателями (§10 учебника по математике для 6-го класса (автор А. Г. Мерзляк)). При разложении на простые множители чисел 15 и 10 повторяется один простой множитель 5, его мы убирает. Остальные — перемножаем и получаем, что наименьший общий знаменатель для этих двух дробей равен 30. В числителе первой дроби мы 32 умножили на 2, а в числителе второй дроби мы 9 умножили на 3 и получили вместо 32 — 64, а вместо 9 — 27. Для р
Оглавление

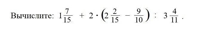
Условие задачи:

-2

Решение:

Уже в начальных классах школьники знают, что в выражениях без скобок действия выполняются слева направо, при этом сначала выполняется умножение и деление, а затем — сложение и вычитание.

В выражениях же со скобками сначала выполняются действия в скобках, а потом также по порядку слева направо выполняется умножение и деление, затем — сложение и вычитание.

Поэтому данный пример надо решать в четыре действия:

-3

Чтобы сложить (вычесть) дроби с разными знаменателями, надо привести их к общему знаменателю, а затем применить правило сложения (вычитания) дробей с одинаковыми знаменателями (§10 учебника по математике для 6-го класса (автор А. Г. Мерзляк)).

-4

При разложении на простые множители чисел 15 и 10 повторяется один простой множитель 5, его мы убирает. Остальные — перемножаем и получаем, что наименьший общий знаменатель для этих двух дробей равен 30.

-5

В числителе первой дроби мы 32 умножили на 2, а в числителе второй дроби мы 9 умножили на 3 и получили вместо 32 — 64, а вместо 9 — 27.

-6

Для решения второго действия мы использовали правило умножения двух дробей, но перед этим обе дроби сократили (целое число можно рассматривать, как дробь со знаменателем 1).

У чисел 2 и 30 наибольший общий делитель равен 2. Пользуясь основным свойством дроби (§7) мы сократили числитель 2 и знаменатель 30 на 2 и получили вместо 2 — 1, а вместо 30 — 15.

-7

Для решения третьего действия мы использовали правило деления дробей.

-8

У чисел 18 и 15 наибольший общий делитель равен 3.

-9