Добавить в корзинуПозвонить
Найти в Дзене

Равномерное прямолинейное движение

Привет всем, кто жаждет знаний! 👋 Сегодня на очереди тема - равномерное прямолинейное движение. На самом деле с этой темой мы знакомы уже давно, поэтому я лишь напомню основные понятия и подсвечу важные моменты. Но сначала подписывайтесь на мой телеграм-канал, там я выкладываю (буду выкладывать😅) много интересного. В первую очередь - в названии нашей сегодняшней темы (равномерное прямолинейное движение) есть сразу две характеристики движения: 1. Равномерное🚅 - это значит, что тело за любые равные промежутки времени проходит одинаковые пути, если по-простому - у тела не меняется скорость с течением времени; 2. Прямолинейное📏 - это значит, что тело двигается исключительно по прямой, то есть траектория его движения прямая линия (здесь мы уже обсуждали, что такое траектория). Напомню, основной задачей кинематики (именно в этом разделе физики мы сейчас находимся) является описание движения тела, это значит, что с помощью кинематики мы можем вычислить положение тела в пространстве (то ес

Привет всем, кто жаждет знаний! 👋

Сегодня на очереди тема - равномерное прямолинейное движение. На самом деле с этой темой мы знакомы уже давно, поэтому я лишь напомню основные понятия и подсвечу важные моменты.

Но сначала подписывайтесь на мой телеграм-канал, там я выкладываю (буду выкладывать😅) много интересного.

В первую очередь - в названии нашей сегодняшней темы (равномерное прямолинейное движение) есть сразу две характеристики движения:

1. Равномерное🚅 - это значит, что тело за любые равные промежутки времени проходит одинаковые пути, если по-простому - у тела не меняется скорость с течением времени;

2. Прямолинейное📏 - это значит, что тело двигается исключительно по прямой, то есть траектория его движения прямая линия (здесь мы уже обсуждали, что такое траектория).

Напомню, основной задачей кинематики (именно в этом разделе физики мы сейчас находимся) является описание движения тела, это значит, что с помощью кинематики мы можем вычислить положение тела в пространстве (то есть его координаты) в любой момент времени. Для вычисления координат пользуются уравнениями движения.

⚠️ Важно ⚠️

Для каждого вида движения уравнение движения будет свое.

И это главное, что нам нужно понять. В дальнейшем мы будем изучать другие виды движения и для них появятся новые уравнения движения. Важно, чтобы мы научились отличать один вид движения от другого и соответственно использовать нужное уравнение движения.

1) Уравнение равномерного прямолинейного движения, записанное в координатной форме

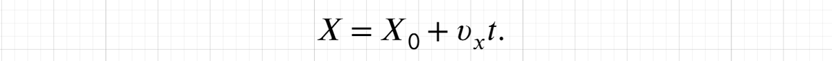
Итак, для равномерного прямолинейного движения уравнение движения выглядит следующим образом:

где Х нулевое - это начальная координата точки, V иксовое - это проекция скорости точки на ось ОХ, t - время, в течение которого точка двигалась, ну и Х - это координата точки в момент времени t.
где Х нулевое - это начальная координата точки, V иксовое - это проекция скорости точки на ось ОХ, t - время, в течение которого точка двигалась, ну и Х - это координата точки в момент времени t.

⚠️ Важно ⚠️

Начальная координата тела может быть как положительной, так и отрицательной и проекция скорости на ось Х так же может быть положительной и отрицательной.

Знак проекции зависит от направления вектора скорости относительно оси ОХ. Если вектор скорости и ось ОХ сонаправлены, то проекция скорости будет со знаком "+", если вектор скорости и ось ОХ противоположно направлены, то проекция скорости будет со знаком "-".

Как пользоваться этим уравнением.

Для примера разберём маленькую задачу номер 22 из сборника задач по физике 10-11 класса Н. А. Парфентьевой..

Условие задачи 📝:

Запишите в векторной и скалярной формах уравнение движения точки, если она движется в положительном направлении оси ОХ со скорость 2 м/c. В начальный момент времени точка находилась на расстоянии 1 м от начала координат.

На данный момент мы будем записывать уравнение движения только в скалярной форме (координатной), о векторной поговорим далее.

Итак, уравнение движения, которое я записывала выше, можно воспринимать как шаблон. То есть нам нужно подставить в шаблон численное значение начальной координаты и численное значение проекции скорости. Со временем в уравнении движения мы ничего не делаем, просто его переписываем в виде переменной t. Почему так? Дело в том, что уравнение движения дает ответ на вопрос - какая была координата у тела в момент времени....и дальше цифра времени может быть абсолютно любая... в момент времени 5 с, в момент времени 34 часа, что угодно. То есть уравнение равномерного прямолинейного движения - это функция координаты тела от времени Х=Х(t).

Вспомните уроки алгебры, функции, графики которых вы строили, это зависимость координаты y от координаты x: y=y(x). И всегда в записи самой функции были самые разные цифры и конструкции, но переменная х всегда присутствовала в буквенной форме, например, y=2x+5, y=-0,8-1,3x.

И в нашем уравнении движения всегда переменная t будет оставаться буквой.

Итак, из условия задачи нам известны модуль и направление скорости точки, начальная координата точки. Для удобства представления небольшой рисунок:

-3

Нам нужно подставить численные значения в уравнение движения, важно понимать, что проекция вектора скорости будет положительной, потому что вектор скорости сонаправлен ⬆⬆ с осью ОХ:

-4

Таким образом, уравнение движения точки будет иметь следующий вид:

-5

Теперь нужно подсветить следующий момент, сейчас мы сами получили уравнение движения, зная начальную координату и скорость точки, но можно решить и обратную задачу. То есть, если в условии задачи нам дано уравнение движения, из него мы всегда можем выписать значения начальной координаты и скорости тела.

Например, уравнение движения точки будет выглядеть так:

-6

Свободное число - это начальная координата точки, она равна 4 м, коэффициент перед переменной t - это проекция вектора скорости, она равна -1,5 м/с.

-7

Важно не потерять знак "-", он говорит о том, что направление вектора скорости и направление оси ОХ противоположные.

2) Уравнение равномерного прямолинейного движения, записанное в векторной форме

Переходим к уравнению равномерного прямолинейного движения точки в векторной форме.

Стоит отметить, что оба уравнения (и в векторной форме и в скалярной) говорят об одном и том же, просто способы описания движения используются разные. (О способах описания движения можно прочитать здесь).

Само уравнение равномерного прямолинейного движения в векторной форме выглядит так:

-8

Оно позволяет найти радиус-вектор точки в любой момент времени, если известны скорость точки и радиус-вектор, задающий её положение в начальный момент времени.

Напомню, что радиус-вектор - это вектор, проведенный в данную точку из начала координат. Нужно понимать, что радиус-вектор r является суммой двух векторов: радиус-вектора r0 и вектора V. Если перед нами будет стоять задача найти радиус-вектор точки, которая движется в пространстве, то нужно будет получать проекции вектора r0 на оси X, Y, Z и проекции вектора V на эти же оси. То есть у нас будет 6 проекций... это тяжелый случай.. Но не стоит пугаться, в школьном курсе физики перед нами будет стоять самая простая задача - точка будет двигаться вдоль только одной оси, чаще всего это будет ось Х.

-9

Тогда векторы r0 и V будут составлять с осями OY и OZ прямой угол. Поэтому их проекции на эти оси будут равны нулю. Так как проекция любого радиус-вектора на координатную ось равна координатам его конца, то rх = х и r0х = х0. Поэтому в проекциях на ось ОХ уравнение равномерного прямолинейного движения в векторной форме можно записать в виде:

-10

То есть мы снова пришли к уже известному уравнению движения, о котором говорили выше.

Таким образом, делаем вывод: уравнение прямолинейного равномерного движения в координатной форме, записанное выше - это частный случай движения точки вдоль только одной оси ОХ. Проясню, если бы точка двигалась вдоль оси ОY, то уравнение его движения было бы записано так:

-11

А если тело двигалось равномерно и прямолинейно вдоль оси OZ, то уравнение его движения выглядело бы так:

-12

Мы встречаем в учебниках и пользуемся на практике только уравнением движения в проекции на ось ОХ, потому что рассматриваем чаще всего именно горизонтальное движение тел, то есть движение, сонаправленное именно с этой осью.

Давайте закрепим наши новые знания и дорешаем задачу.

Напомню ее условие 📝:

Запишите в векторной и скалярной формах уравнение движения точки, если она движется в положительном направлении оси ОХ со скорость 2 м/c. В начальный момент времени точка находилась на расстоянии 1 м от начала координат.

-13

Само уравнение равномерного прямолинейного движения в векторной форме будет записано без изменений, а нам нужно дописать к нему модуль радиус-вектора, задающего положение точки в начальный момент времени, и модуль вектора скорости. Итого получим ответ:

-14

🏁 Готово, задача решена! 🏁

Пишите в комментариях, какие темы мне разобрать в следующий раз. А я в свою очередь предлагаю немного попрактиковаться в решении задач по данной теме тут.

Если вы дочитали до конца, подписывайтесь на канал, ставьте палец вверх👍 Это мотивирует быстрее публиковать новые статьи!

👾 Присоединяйтесь к моему каналу в Telegram! 👾

Наука
7 млн интересуются