Найти в Дзене
Алексей Ковальчук

Парадокс дней рождения

Задумывались ли вы когда-то над тем, насколько вероятно, что дни рождения двух учеников в классе или студентов в группе совпадут❓ Лично я - да. Предлагаю вам сразу ознакомиться с ответом на этот вопрос.

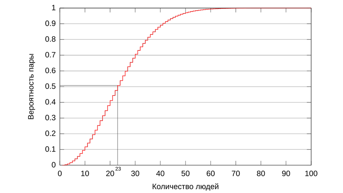
Оказывается, что в группе, состоящей из 23 или более человек, вероятность совпадения дней рождения (число и месяц) хотя бы у двух людей превышает 50%, а для 57 и более человек вероятность такого совпадения превышает 99%. Магия? Не совсем.

🔍Интуитивное восприятие состоит в том, что в группе из 23 человек вероятность совпадения дней рождения у двух человек столь высока, потому что рассматривается вероятность совпадения дней рождения у любых двух человек в группе. Эта вероятность определяется количеством пар людей, которые можно составить из 23 человек. Всего таких пар: (23 × 22) / 2 = 253 пары.

В формулировке парадокса речь идёт именно о совпадении дней рождения у каких-либо двух членов группы. Одно из распространённых заблуждений состоит в том, что этот случай путают с другим случаем, на первый взгляд похожим, когда из группы выбирается один человек и оценивается вероятность того, что день рождения каких-либо других членов группы совпадёт с днём рождения выбранного человека. В последнем случае вероятность совпадения значительно ниже. На рисунке вы можете видеть, как зависит эта вероятность от количества человек в группе.

💡Мне всегда были интересны вероятностные задачи. В том числе из-за этого я выбрал кафедру теории вероятностей в вузе для углублённой подготовки.

Напишите в комментариях, было ли у вас так, что в классе или группе у кого-то совпадал день Рождения. Лично у меня - да, причём совпадение было именно с моим днём рождения.

Углублить свои знания в математике или сформировать необходимую базу вы можете на курсе Высшая математика для всех: курс для начинающих.

А если вы интересуетесь темой образования, то приглашаю вас в свой открытый Telegram-канал: https://t.me/analitiqtutor

Там вы найдете десятки актуальных постов по теме образования, онлайн-курсы по точным предметам и возможность задать свой вопрос выпускнику МГУ.