Найти в Дзене

Примеры решения типовых заданий ВПР. Задание №9. Вариант 11.

Уже в начальных классах школьники знают, что в выражениях без скобок действия выполняются слева направо, при этом сначала выполняется умножение и деление, а затем — сложение и вычитание. В выражениях же со скобками сначала выполняются действия в скобках, а потом также по порядку слева направо выполняется умножение и деление, затем — сложение и вычитание. Поэтому данный пример надо решать в четыре действия: Чтобы сложить (вычесть) дроби с разными знаменателями, надо привести их к общему знаменателю, а затем применить правило сложения (вычитания) дробей с одинаковыми знаменателями (§10 учебника по математике для 6-го класса (автор А. Г. Мерзляк)). При разложении на простые множители чисел 8 и 6 повторяется один простой множитель 2, его мы убирает. Остальные — перемножаем и получаем, что наименьший общий знаменатель для этих двух дробей равен 24. В числителе первой дроби мы 19 умножили на 3, а в числителе второй дроби мы дважды умножили число 5 на 2 и получили вместо 19 — 57, а вместо 5 —
Оглавление

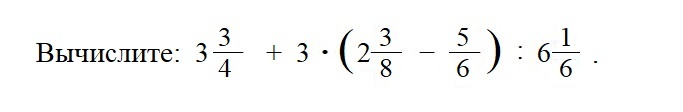
Условие задачи:

-2

Решение:

Уже в начальных классах школьники знают, что в выражениях без скобок действия выполняются слева направо, при этом сначала выполняется умножение и деление, а затем — сложение и вычитание.

В выражениях же со скобками сначала выполняются действия в скобках, а потом также по порядку слева направо выполняется умножение и деление, затем — сложение и вычитание.

Поэтому данный пример надо решать в четыре действия:

-3

Чтобы сложить (вычесть) дроби с разными знаменателями, надо привести их к общему знаменателю, а затем применить правило сложения (вычитания) дробей с одинаковыми знаменателями (§10 учебника по математике для 6-го класса (автор А. Г. Мерзляк)).

-4

При разложении на простые множители чисел 8 и 6 повторяется один простой множитель 2, его мы убирает. Остальные — перемножаем и получаем, что наименьший общий знаменатель для этих двух дробей равен 24.

-5

В числителе первой дроби мы 19 умножили на 3, а в числителе второй дроби мы дважды умножили число 5 на 2 и получили вместо 19 — 57, а вместо 5 — 20.

-6

Для решения второго действия мы использовали правило умножения двух дробей, но перед этим обе дроби сократили (целое число можно рассматривать, как дробь со знаменателем 1).

У чисел 3 и 24 наибольший общий делитель равен 3. Пользуясь основным свойством дроби (§7) мы сократили числитель 3 и знаменатель 24 на 3 и получили вместо 3 — 1, а вместо 24 — 8.

-7

Для решения третьего действия мы использовали правило деления дробей.

У чисел 6 и 8 наибольший общий делитель равен 2. Пользуясь основным свойством дроби (§7) мы сократили числитель 6 и знаменатель 8 на 2 и получили вместо 6 — 3, а вместо 8 — 4.

-8

У чисел 6 и 4 наибольший общий делитель равен 2.

-9