Добавить в корзинуПозвонить
Найти в Дзене
Широков Александр

Школьные задачи / Алгебра / А-76

Функция «гиперболический синус» обозначается как sh t и определяется так: sh t = (eᵗ – e⁻ᵗ)/2 Построить на координатной плоскости график уравнения sh y = sh x Заметим, что ∀ t ∈ ℝ: eᵗ > 0 (читается: «для любого t, принадлежащего множеству действительных чисел, выражение eᵗ больше нуля»). Проведём с заданным в условии уравнением равносильные преобразования: (выражение всегда положительно, поэтому при переходе (1) обе части равенства были поделены на эту величину без потери его смысла). Итак, графиком исходного уравнения является линия, описываемая функцией y = x. Другие задания, имеющиеся на канале, можно найти здесь: Сведения о новых статьях блога выкладываются в Telegram: Shuric_Himik НОВОСТИ КАНАЛА Уважаемые читатели! Сегодняшняя публикация открывает серию разборов задач на построение графика уравнения вида f(y) = f(x), где под f понимается некоторая функция, причём не только из числа изучаемых в школьном курсе . Некоторые упражнения такого типа уже выкладывались ранее (см. наприм
Оглавление

Задание

Функция «гиперболический синус» обозначается как sh t и определяется так:

sh t = (eᵗe)/2

Построить на координатной плоскости график уравнения

sh y = sh x

Решение

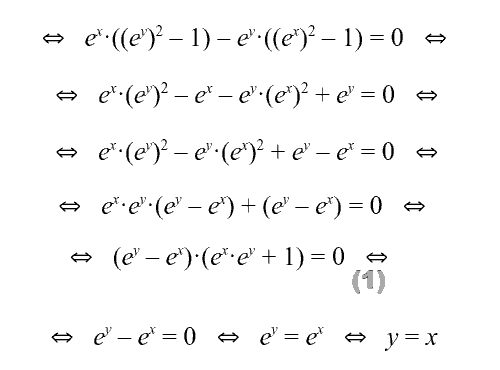
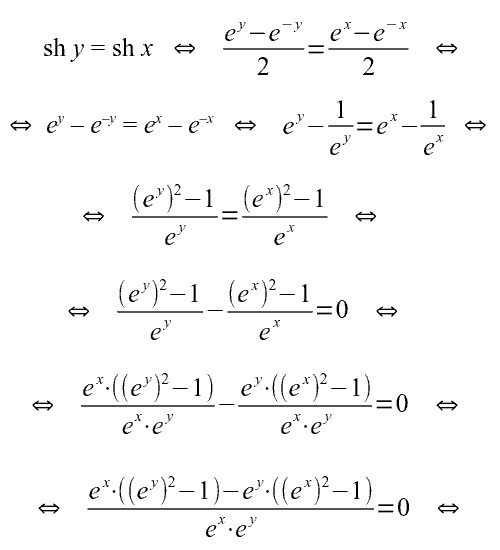
Заметим, что ∀ t ∈ ℝ: eᵗ > 0 (читается: «для любого t, принадлежащего множеству действительных чисел, выражение eᵗ больше нуля»). Проведём с заданным в условии уравнением равносильные преобразования:

-2

(выражение

-3

всегда положительно, поэтому при переходе (1) обе части равенства были поделены на эту величину без потери его смысла). Итак, графиком исходного уравнения является линия, описываемая функцией y = x.

Ответ

-4

Другие задания, имеющиеся на канале, можно найти здесь:

Школьные задачи | Широков Александр | Дзен

-5

Перечень публикаций на канале
Широков Александр2 декабря 2020

Сведения о новых статьях блога выкладываются в Telegram: Shuric_Himik

-6

НОВОСТИ КАНАЛА

Уважаемые читатели! Сегодняшняя публикация открывает серию разборов задач на построение графика уравнения вида f(y) = f(x), где под f понимается некоторая функция, причём не только из числа изучаемых в школьном курсе . Некоторые упражнения такого типа уже выкладывались ранее (см. например задание А-16), теперь же эту тему решено рассмотреть более подробно.

-7

Наука
7 млн интересуются