Найти в Дзене

Задачи 634 и 635 из учебника по алгебре для 8-го класса (автор Ю. Н. Макарычев)

Решение задач с помощью дробных рациональных уравнений Уважаемые мамы и папы, дедушки и бабушки! На примерах решений задачи № 634 и № 635 из учебника по алгебре для 8-го класса авторов Ю. Н. Макарычева, Н. Г. Миндюк, К. И. Нешкова и С. Б. Суворова под редакцией С. А. Теляковского предлагаю вспомнить решение задач с помощью дробных рациональных уравнений. Условие задачи 634: Велосипедист проехал из посёлка до станции с некоторой постоянной скоростью, а возвращался со скоростью на 5 км/ч большей. Какова была первоначальная скорость велосипедиста, если известно, что средняя скорость на всём пути следования составляла 12 км/ч? Решение: Пусть из посёлка до станции велосипедист ехал со скоростью x км/ч. Тогда обратно он ехал со скоростью x + 5 км/ч. Из условия известно, что средняя скорость была 12 км/ч и некоторые ученики думают, что велосипедист ехал от посёлка до станции со скоростью на 2,5 км/ч меньше, чем 12 км/ч, а обратно – со скоростью на 2,5 км/ч больше. Но это ошибка, ведь уже в
Оглавление

Решение задач с помощью дробных рациональных уравнений

Уважаемые мамы и папы, дедушки и бабушки!

На примерах решений задачи № 634 и № 635 из учебника по алгебре для 8-го класса авторов Ю. Н. Макарычева, Н. Г. Миндюк, К. И. Нешкова и С. Б. Суворова под редакцией С. А. Теляковского предлагаю вспомнить решение задач с помощью дробных рациональных уравнений.

Условие задачи 634:

Велосипедист проехал из посёлка до станции с некоторой постоянной скоростью, а возвращался со скоростью на 5 км/ч большей. Какова была первоначальная скорость велосипедиста, если известно, что средняя скорость на всём пути следования составляла 12 км/ч?

Решение:

Пусть из посёлка до станции велосипедист ехал со скоростью x км/ч. Тогда обратно он ехал со скоростью x + 5 км/ч.

Из условия известно, что средняя скорость была 12 км/ч и некоторые ученики думают, что велосипедист ехал от посёлка до станции со скоростью на 2,5 км/ч меньше, чем 12 км/ч, а обратно – со скоростью на 2,5 км/ч больше.

Но это ошибка, ведь уже в младших классах школьники проходят, что для того, чтобы найти среднюю скорость, необходимо поделить расстояние на время. Например, если автобус проехал 120 км за 2 ч, то его средняя скорость будет 120 : 2 = 60 км/ч. Но при этом автобус на первые 60 км потратил 1,5 ч, так как ехал по просёлочной дороге после дождя, где скорость более 40/ч невозможна в принципе, а потом выехал на автомагистраль и за 0,5 ч легко преодолел оставшиеся 60 км. То есть первую половину пути автобус ехал со скоростью 40 км/ч, а вторую – со скоростью 120 км/ч. Но при этом средняя скорость 60 км/ч, а не 80, так как для того, чтобы найти среднюю скорость, надо сложить время, потраченное на первую половину пути со временем, потраченным на вторую половину пути и затем длину всего пути разделить на время, затраченное на весь путь.

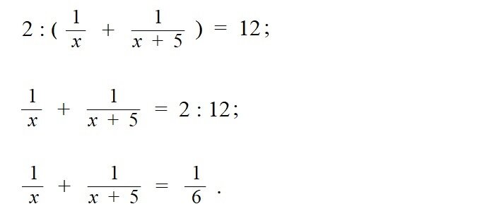
В условии же нашей задачи нет данных о расстоянии от посёлка до станции, поэтому условно берём его за единицу. На дорогу до станции велосипедист потратил 1 : x км/ч, а обратно – 1: (x + 5) км/ч. Поскольку за расстояние от посёлка до станции мы условно взяли единицу, то дорога от посёлка до станции и обратно составляет две единицы, поэтому средняя скорость велосипедиста равна 2 : (1 : x + 1: (x + 5)). Зная, что средняя скорость на всём пути следования составляла 12 км/ч, составляем уравнение:

2 : 12 мы представили в виде дроби и сократили числитель и знаменатель на 2.

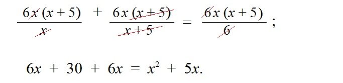
Общий знаменатель дробей 6x (x + 5).

Умножим обе части уравнения на общий знаменатель дробей.

-2

Перенесём все слагаемые в левую часть уравнения, соблюдая правило переноса слагаемых из одной части уравнения в другую:

-3

Мы получили квадратное уравнение с нечётным вторым коэффициентом, поэтому для решения уравнения удобнее воспользоваться формулой I.

-4

169 > 0, значит, уравнение имеет два корня.

-5

Ответ: первоначальная скорость велосипедиста была 10 км/ч.

Условие задачи 635:

Мотоциклист половину пути проехал с некоторой постоянной скоростью, а затем снизил скорость на 20 км/ч. Какова была скорость мотоциклиста на первой половине пути, если известно, что средняя скорость на всём пути составила 37,5 км/ч?

Решение:

Пусть первую половину пути мотоциклист ехал со скоростью x км/ч. Тогда вторую половину пути он ехал со скоростью x – 20 км/ч.

Из условия известно, что средняя скорость была 37,5 км/ч и некоторые ученики думают, что мотоциклист ехал первую половину пути со скоростью на 10 км/час больше, чем 37,5 км/ч, а вторую – со скоростью на 10 км/ч меньше.

Но это ошибка, ведь уже в младших классах школьники проходят, что для того, чтобы найти среднюю скорость, необходимо поделить расстояние на время. Например, если турист преодолел 6 км за 2 ч, то его средняя скорость будет 6 : 2 = 3 км/ч. Но при этом на первые 3 км он потратил 1,5 ч, так как тропинка круто поднималась в гору, а потом путник вышел на ровную асфальтированную дорогу с небольшим уклоном вниз и за 0,5 ч легко преодолел оставшиеся 3 км. То есть первую половину пути человек шёл со скоростью 2 км/ч, а вторую – со скоростью 6 км/ч. Но при этом средняя скорость 3 км/ч, а не 4, так как для того, чтобы найти среднюю скорость, надо сложить время, потраченное на первую половину пути со временем, потраченным на вторую половину пути и затем длину всего пути разделить на время, затраченное на весь путь.

В условии же нашей задачи нет данных о расстоянии, поэтому условно берём половину пути за единицу. На первую половину пути мотоциклист потратил 1 : x км/ч, а вторую – 1: (x – 20) км/ч. Поскольку половину пути мы условно взяли за единицу, то весь путь составляет две единицы, поэтому средняя скорость мотоциклиста равна 2 : (1 : x + 1: (x – 20)). Зная, что средняя скорость на всём пути следования составляла 37,5 км/ч, составляем уравнение:

-6

2 : 37,5 мы представили в виде дроби и сократили числитель и знаменатель на 2.

Общий знаменатель дробей 18,75x (x – 20).

Умножим обе части уравнения на общий знаменатель дробей.

-7

Перенесём все слагаемые в левую часть уравнения, соблюдая правило переноса слагаемых из одной части уравнения в другую:

-8

Мы получили квадратное уравнение с нецелым числом в качестве второго коэффициента, поэтому для решения уравнения удобнее воспользоваться формулой I.

1806,25 > 0, значит, уравнение имеет два корня.

-9

Ответ: скорость мотоциклиста на первой половине пути была 50 км/ч.