Найти в Дзене

Задачи 632 и 633 из учебника по алгебре для 8-го класса (автор Ю. Н. Макарычев)

Решение задач с помощью дробных рациональных уравнений Уважаемые мамы и папы, дедушки и бабушки! На примерах решений задачи № 632 и № 633 из учебника по алгебре для 8-го класса авторов Ю. Н. Макарычева, Н. Г. Миндюк, К. И. Нешкова и С. Б. Суворова под редакцией С. А. Теляковского предлагаю вспомнить решение задач с помощью дробных рациональных уравнений. Условие задачи 632: При совместной работе двух кранов разгрузку баржи закончили за 6 ч. Сколько времени потребовалось бы каждому крану отдельно для разгрузки баржи, если известно, что первому крану для этого потребуется на 5 часов больше, чем второму? Решение: Общий знаменатель дробей 6x (x + 5). Умножим обе части уравнения на общий знаменатель дробей. Перенесём все слагаемые в левую часть уравнения, соблюдая правило переноса слагаемых из одной части уравнения в другую: Мы получили квадратное уравнение с нечётным вторым коэффициентом, поэтому для решения уравнения удобнее воспользоваться формулой I. 169 > 0, значит, уравнение имеет д
Оглавление

Решение задач с помощью дробных рациональных уравнений

Уважаемые мамы и папы, дедушки и бабушки!

На примерах решений задачи № 632 и № 633 из учебника по алгебре для 8-го класса авторов Ю. Н. Макарычева, Н. Г. Миндюк, К. И. Нешкова и С. Б. Суворова под редакцией С. А. Теляковского предлагаю вспомнить решение задач с помощью дробных рациональных уравнений.

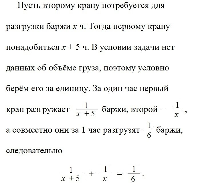
Условие задачи 632:

При совместной работе двух кранов разгрузку баржи закончили за 6 ч. Сколько времени потребовалось бы каждому крану отдельно для разгрузки баржи, если известно, что первому крану для этого потребуется на 5 часов больше, чем второму?

Решение:

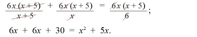
Общий знаменатель дробей 6x (x + 5).

Умножим обе части уравнения на общий знаменатель дробей.

-2

Перенесём все слагаемые в левую часть уравнения, соблюдая правило переноса слагаемых из одной части уравнения в другую:

-3

Мы получили квадратное уравнение с нечётным вторым коэффициентом, поэтому для решения уравнения удобнее воспользоваться формулой I.

-4

169 > 0, значит, уравнение имеет два корня.

-5

10 + 5 = 15 часов потребовалось бы отдельно первому крану для разгрузки баржи.

Ответ: чтобы разгрузить баржу первому крану отдельно потребовалось бы 15 ч, а второму – 10 ч.

Условие задачи 633:

Два автомата разной мощности изготовили за 2 ч 55 мин некоторое количество деталей. За какое время это количество деталей мог бы изготовить первый автомат, если известно, что ему для этого потребуется на 2 ч больше, чем второму автомату?

Решение:

-6

При составлении уравнения мы воспользовались правилом деления дробей.

Общий знаменатель дробей 35x ( x + 2 ).

Умножим обе части уравнения на общий знаменатель дробей.

-7

Перенесём все слагаемые в левую часть уравнения, соблюдая правило переноса слагаемых из одной части уравнения в другую:

-8

Мы получили квадратное уравнение с чётным вторым коэффициентом, поэтому для решения уравнения удобнее воспользоваться формулой II.

-9

1369 > 0, значит, уравнение имеет два корня.

-10

5 + 2 = 7 часов потребовалось бы отдельно первому автомату для изготовления всех деталей.

Ответ: первому автомату отдельно потребовалось бы 7 ч.