Добавить в корзинуПозвонить
Найти в Дзене

Задачи 620 и 621 из учебника по алгебре для 8-го класса (автор Ю. Н. Макарычев)

Решение задач с помощью дробных рациональных уравнений Уважаемые мамы и папы, дедушки и бабушки! На примерах решений задачи № 620 и № 621 из учебника по алгебре для 8-го класса авторов Ю. Н. Макарычева, Н. Г. Миндюк, К. И. Нешкова и С. Б. Суворова под редакцией С. А. Теляковского предлагаю вспомнить решение задач с помощью дробных рациональных уравнений. Условие задачи 620: Два автомобиля выезжают одновременно из одного города в другой. Скорость первого на 10 км/ч больше скорости второго, и поэтому первый автомобиль приезжает на место на 1 час раньше второго. Найдите скорость каждого автомобиля, зная, что расстояние между городами равно 560 км. Решение: Пусть скорость второго автомобиля будет x км/ч. Тогда скорость первого автомобиля x + 10 км/ч. Второй автомобиль проехал расстояние между городами за 560 : x часов, а первый автомобиль – за 560 : (x + 10) часов. Зная, что первый автомобиль потратил на дорогу на 1 час меньше второго, составляем уравнение. Общий знаменатель дробей x ( x
Оглавление

Решение задач с помощью дробных рациональных уравнений

Уважаемые мамы и папы, дедушки и бабушки!

На примерах решений задачи № 620 и № 621 из учебника по алгебре для 8-го класса авторов Ю. Н. Макарычева, Н. Г. Миндюк, К. И. Нешкова и С. Б. Суворова под редакцией С. А. Теляковского предлагаю вспомнить решение задач с помощью дробных рациональных уравнений.

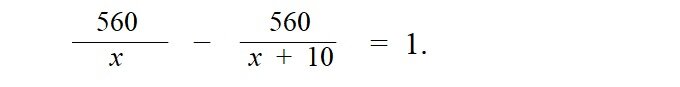
Условие задачи 620:

Два автомобиля выезжают одновременно из одного города в другой. Скорость первого на 10 км/ч больше скорости второго, и поэтому первый автомобиль приезжает на место на 1 час раньше второго. Найдите скорость каждого автомобиля, зная, что расстояние между городами равно 560 км.

Решение:

Пусть скорость второго автомобиля будет x км/ч. Тогда скорость первого автомобиля x + 10 км/ч. Второй автомобиль проехал расстояние между городами за 560 : x часов, а первый автомобиль – за 560 : (x + 10) часов. Зная, что первый автомобиль потратил на дорогу на 1 час меньше второго, составляем уравнение.

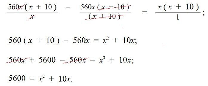
Общий знаменатель дробей x ( x + 10 ).

Умножим обе части уравнения на общий знаменатель дробей.

-2

Перенесём все слагаемые в левую часть уравнения, соблюдая правило переноса слагаемых из одной части уравнения в другую:

-3

Мы получили квадратное уравнение с чётным вторым коэффициентом, поэтому для решения уравнения удобнее воспользоваться формулой II.

-4

5625 > 0, значит уравнение имеет два корня.

-5

Кроме того, при x = 70 общий знаменатель не обращается в нуль, следовательно, скорость второго автомобиля 70 км/ч.

70 + 10 = 80 км/ч – скорость первого автомобиля.

Ответ: скорость первого автомобиля 80 км/ч, скорость второго автомобиля 70 км/ч.

Ответ легко проверить:

560 : 80 = 7 часов потратил на дорогу первый автомобиль.

560 : 70 = 8 часов потратил на дорогу второй автомобиль.

То есть мы видим, что при таких скоростях первый автомобиль закончит дистанцию в 560 км на 1 час раньше, чем второй.

Условие задачи 621:

Чтобы ликвидировать опоздание на 1 час, поезд на перегоне в 720 км увеличил скорость, с которой шёл по расписанию, на 10 км/ч. Какова скорость поезда по расписанию?

Решение:

Решение этой задачи практически совпадает с решением задачи № 620. Только вместо 560 км в мы ставим 720, а под x км/час подразумеваем скорость поезда по расписанию. Тогда увеличенная скорость поезда равна x + 10 км/ч.

Зная, что с увеличением скорости на 10 км/ч поезд потратил на дорогу на 1 час меньше, составляем уравнение:

-6

Ответ: скорость поезда по расписанию 80 км/ч.

Как видите, уравнение очень похоже на уравнение задачи 620. Оно отличается только числителями дробей левой части (720 вместо 560). Решение уравнения тоже идёт по аналогии с уравнением предыдущей задачи.

Ответ легко проверить:

720 : 80 = 9 часов едет поезд перегон в 720 км по расписанию.

Когда он увеличил скорость на 10 км/ч, то проехал этот же перегон за

720 : 90 = 8 часов, а это на 1 час меньше, чем по расписанию.