Найти в Дзене

№ 581 из учебника по алгебре для 8-го класса (автор Ю. Н. Макарычев)

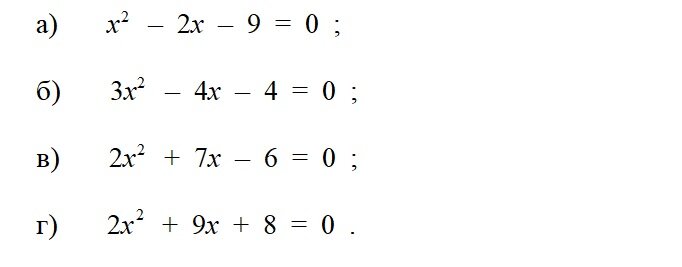
Примеры применения теоремы Виета и теоремы, обратной теореме Виета Уважаемые мамы и папы, дедушки и бабушки! На примерах решений слегка изменённых заданий № 581 из учебника по алгебре для 8-го класса авторов Ю. Н. Макарычева, Н. Г. Миндюк, К. И. Нешкова и С. Б. Суворова под редакцией С. А. Теляковского предлагаю вспомнить теорему Виета и теорему, обратную теореме Виета. Найдите сумму и произведение корней уравнения: Решение: Если в квадратном уравнении первый коэффициент равен 1, то такое уравнение называют приведённым квадратным уравнением. В главе III §8 п. 24 учебника на странице 134 даётся Теорема Виета: Сумма корней приведённого квадратного уравнения равна второму коэффициенту, взятому с противоположным знаком, а произведение корней равно свободному члену. Данное уравнение как раз является приведённым, поэтому если дискриминант больше нуля, то сумма корней равняется 2, а произведение равно – 9. Найдём корни уравнения и проверим. Значение второго коэффициента чётное, поэтому для ре
Оглавление

Примеры применения теоремы Виета и теоремы, обратной теореме Виета

Уважаемые мамы и папы, дедушки и бабушки!

На примерах решений слегка изменённых заданий № 581 из учебника по алгебре для 8-го класса авторов Ю. Н. Макарычева, Н. Г. Миндюк, К. И. Нешкова и С. Б. Суворова под редакцией С. А. Теляковского предлагаю вспомнить теорему Виета и теорему, обратную теореме Виета.

Найдите сумму и произведение корней уравнения:

Решение:

-2

Если в квадратном уравнении первый коэффициент равен 1, то такое уравнение называют приведённым квадратным уравнением.

В главе III §8 п. 24 учебника на странице 134 даётся Теорема Виета:

Сумма корней приведённого квадратного уравнения равна второму коэффициенту, взятому с противоположным знаком, а произведение корней равно свободному члену.

Данное уравнение как раз является приведённым, поэтому если дискриминант больше нуля, то сумма корней равняется 2, а произведение равно – 9.

Найдём корни уравнения и проверим.

Значение второго коэффициента чётное, поэтому для решения уравнения удобнее воспользоваться формулой II.

-3

Проверим сумму полученных корней:

( 1 + √10 ) + ( 1 – √10 ) = 1 + √10 + 1 – √10 = 2.

То есть сумма действительно равна второму коэффициенту –2, взятому с противоположным знаком.

Проверим произведение корней, для этого воспользуемся формулой произведения разности двух выражений и их суммы.

-4

Произведение корней действительно равно свободному члену –9.

-5

16 > 0, значит уравнение имеет два корня. Это уравнение не является приведённым, так как a = 3, но если все его члены разделить на 3, то получим приведённое уравнение, имеющее те же корни, что и данное.

-6

Проверяем:

-7

Значение второго коэффициента нечётное, поэтому для решения уравнения удобнее воспользоваться формулой I.

D = 49 – 4 * 2 * ( –6 ) = 49 + 48 = 97.

97 > 0, значит уравнение имеет два корня. Это уравнение не является приведённым, так как a = 2, но если все его члены разделить на 2, то получим приведённое уравнение, имеющее те же корни, что и данное.

Сумма корней равна –7 : 2 = –3,5 , произведение корней равно –6 : 2 = –3.

Проверяем:

-8

Найдём сумму корней. Нам поможет правило сложения (вычитания) дробей с одинаковыми знаменателями, которое школьники проходят ещё в младших классах: Чтобы сложить (вычесть) дроби с одинаковыми знаменателями, нужно сложить (вычесть) их числители, а знаменатель оставить прежним.

-9

Найдём произведение корней. Нам поможет правило умножения двух дробей, которое школьники проходили в шестом классе.

-10

Для перемножения числителей, мы воспользовались формулой произведения разности двух выражений и их суммы.

По такому же алгоритму решаем последнее уравнение задания.

-11

D = 81 – 4 * 2 * 8 = 81 – 64 = 197.

17 > 0, значит уравнение имеет два корня. Это уравнение не является приведённым, так как a = 2, но если все его члены разделить на 2, то получим приведённое уравнение, имеющее те же корни, что и данное.

Сумма корней равна –7 : 2 = –4,5 , произведение корней равно 8 : 2 = 4.

Проверяем:

-12

Найдём сумму корней.

-13

Найдём произведение корней.

-14