Добавить в корзинуПозвонить
Найти в Дзене

Ответы: Тренировочный вариант ЕГЭ химия по теме "Щелочные и Щелочноземельные металлы"

1. Определите, катионы каких из указанных в ряду элементов имеют электронную конфигурацию, совпадающую с электронной конфигурацией аргона. 1) К 2) S 3) Na 4) Са 5) Cr Запишите номера выбранных элементов:14 2. Из указанных в ряду химических элементов: 1) К 2) S 3) Na 4) Са 5) Cr выберите три элемента, которые с Периодической системе Д.И. Менделеева находятся в одном периоде и расположите эти элементы в порядке уменьшения кислотных свойств их высших гидроксидов. Запишите номера выбранных элементов в нужной последовательности: 541 3. Из указанных в ряду химических элементов: 1) К 2) S 3) Na 4) Са 5) Cr выберите два, которые в составе образованных ими анионов с общей формулой (ЭОх)<2-> могут иметь одинаковую степень окисления. Запишите номера выбранных элементов: 25 4. Из предложенного перечня выбрать два вещества немолекулярного строения, в которых присутствует ковалентная неполярная химическая связь. 1) Хлорид магния 2) Ацетат натрия 3) Калийная

1. Определите, катионы каких из указанных в ряду элементов имеют электронную конфигурацию, совпадающую с электронной конфигурацией аргона.

1) К 2) S 3) Na 4) Са 5) Cr

Запишите номера выбранных элементов:14

2. Из указанных в ряду химических элементов: 1) К 2) S 3) Na 4) Са 5) Cr

выберите три элемента, которые с Периодической системе Д.И. Менделеева находятся в одном периоде и расположите эти элементы в порядке уменьшения кислотных свойств их высших гидроксидов.

Запишите номера выбранных элементов в нужной последовательности: 541

3. Из указанных в ряду химических элементов:

1) К 2) S 3) Na 4) Са 5) Cr

выберите два, которые в составе образованных ими анионов с общей формулой (ЭОх)<2-> могут иметь одинаковую степень окисления.

Запишите номера выбранных элементов: 25

4. Из предложенного перечня выбрать два вещества немолекулярного строения, в которых присутствует ковалентная неполярная химическая связь.

1) Хлорид магния

2) Ацетат натрия

3) Калийная селитра

4) Пероксид натрия

5) Ацетон

Запишите номера верных ответов без пробелов и запятых: 24

5. Из предложенного перечня веществ выберите

А) щелочь; Б) кислая соль; В) основный оксид:

1) Поташ

2) Едкий натр

3) Песок

4) Пищевая сода

5) KO2

6) Негашеная известь

7) Глауберова соль

8) Перхлорат калия

9) Fe(OH)3

Запишите номера верных ответов без пробелов и запятых: 246.

6. В двух колбах находился раствор с веществом Х. В первую колбу добавили соляную кислоту, при этом наблюдали выделение газа. Во вторую колбу добавили вещество У, в результате второй реакции выпал осадок. Из предложенного перечня выберите вещества Х и У, которые могут вступать в описанные реакции.

1) хлорид кальция

2) гидроксид кальция

3) сульфит бария

4) гидрокарбонат кальция

5) карбонат кальция

Запишите в таблицу номера выбранных веществ под соответствующими буквами ХУ: 42

7. Установите соответствие между формулой вещества и реагентами, с каждым из которых это вещество может взаимодействовать: к каждой позиции, обозначенной буквой, подберите соответствующую позицию, обозначенную цифрой.

ФОРМУЛА ВЕЩЕСТВА

А) KOH

Б) Na2O2

В) Li2SO3

Г) Ca(HCO3)2

РЕАГЕНТЫ

1) H2O, CO2, Li2O

2) NaOH, HCl, HNO3

3) O2, Cu(OH)2, H2O

4) Сl2, CO, HI

5) Ba(NO3)2, HCl, Na3PO4

В ответе укажите последовательность цифр: 4452

8. Установите соответствие между реагирующими веществами и продуктами, которые образуются при взаимодействии этих веществ: к каждой позиции, обозначенной буквой, подберите соответствующую позицию, обозначенную цифрой.

РЕАГИРУЮЩИЕ ВЕЩЕСТВА

А) ZnO +NaOH (тв) ( сплавление)

Б) ZnO +NaOH (р-р)

В) BаO + H2O

Г) Bа + H2O

ПРОДУКТЫ РЕАКЦИИ

1) Me(OH)2

2) Me(OH)2 + H2

3) Me(OH)2 + H2O

4) Na2[Me(OH)4]

5) Na2[Me(OH)4] +H2O

6) Na2MeO2 +H2O

В ответе укажите последовательность цифр: 6412

9. Задана следующая схема превращений веществ:

Na2SO4(раствор) --> NaBr --> NaCl

Определите, какие из указанных веществ являются веществами Х и Y.

1) HBr

2) KBr

3) HCl

4) BaBr 2

5) Cl2

Сначала в ответе запишите цифру, соответствующую веществу X, затем цифру, соответствующую веществу Y: 45

10. Установите соответствие между названием соединения и общей формулой гомологического ряда, к которому оно принадлежит: к каждой позиции, обозначенной буквой, подберите соответствующую позицию, обозначенную цифрой.

КЛАСС (ГРУППА) ОРГАНИЧЕСКИХ СОЕДИНЕНИЙ

1) углеводороды

2) спирты

3) фенолы

4) кетоны

НАЗВАНИЕ

А) кумол

Б) крезол

В) ксилол

В ответе укажите последовательность цифр: 131

11. Для вещества состава С4Н10 характерны:

1) наличие двойных связей между атомами углерода

2) существование структурных изомеров

3) sр-гибридизация орбиталей атомов углерода

4) наличие p-связи между атомами углерода

5) sр3 -гибридизация орбиталей атомов углерод

Запишите номера выбранных ответов: 25

12. Из предложенного перечня выберите вещества, которые реагируют с гидроксидом калия.

1) ацетилен

2) этиленгликоль

3) формальдегид

4) этен

5) крезол

6) аланин

Запишите номера верных ответов без пробелов и запятых: 2356

13. Из предложенного перечня выберите две реакции, в которые, в отличие от трипальмитата глицерина, вступает триолеат глицерина.

1) омыление

2) кислотный гидролиз

3) гидрогенизация

4) горение

5) обесцвечивание бромной воды

Запишите номера выбранных ответов: 35

14. Установите соответствие между реагирующими веществами и продуктом реакции, который преимущественно в ней образуется: к каждой позиции, обозначенной буквой, подберите соответствующую позицию, обозначенную цифрой.

РЕАГИРУЮЩИЕ ВЕЩЕСТВА

А) ацетат натрия (вод, электролиз)

Б) ацетат натрия+ гидроксид натрия (тв, сплав.)

В) этанол + натрий

Г) хлорметан + натрий (t°)

ПРОДУКТ РЕАКЦИИ

1) метан

2) ацетат натрия

3) ацетиленид натрия

4) этан

5) этилат натрия

6) ацетальдегид

В ответе укажите последовательность цифр: 4154

15. Установите соответствие между схемой реакции и веществом Х, принимающим в ней участие: к каждой позиции, обозначенной буквой, подберите соответствующую позицию, обозначенную цифрой.

РЕАГИРУЮЩИЕ ВЕЩЕСТВА

А) 2,2-дибромпропан+ гидроксид натрия (спирт)

Б) 2,2-дибромпропан +гидроксид натрия (вод)

В) пропилформиат + гидроксид натрия (вод)

Г) 1,1,1-трибромпропан +Na (вод, изб)

ПРОДУКТ РЕАКЦИИ

1) пропионат натрия

2) ацетон

3) пропин

4) пропанол-2

5) пропанол-1

6) пропионовый альдегид

Запишите в ответ цифры, расположив их в порядке, соответствующем буквам: 3251

16. Задана схема превращений веществ:

KOH изб Y

CH3CCl3 --------→ Х ---------→ CH3COOC2H5

Определите, какие из указанных веществ являются веществами Х и Y.

1) хлорэтан

2) этен

3) этан

4) ацетат калия

5) уксусная кислот

Запишите в таблицу номера выбранных веществ под соответствующими буквами.

Определите, какие из указанных веществ являются веществами Х и Y. Сначала в ответе запишите цифру, соответствующую веществу X, затем цифру, соответствующую веществу Y: 41

17. Из предложенного перечня выберите все возможные вещества, термическое разложение каждого из которых не является окислительно-восстановительной реакцией.

1) LiHCO3

2) KClO3

3) LiOH

4) NaNO3

5) (MgOH)2CO3

Запишите номера верных ответов без пробелов и запятых: 135

18. Из предложенного перечня внешних воздействий выберите все воздействия, каждое из которых приведет к увеличению скорости реакции разложения перманганата калия.

1. понижение температуры

2. добавление перекиси водорода

3. измельчение перманганата калия

4. нагревание

5. уменьшение давления.

Запишите в поле ответа номера выбранных внешних воздействий: 234

19. Установите соответствие между схемой химической реакции и недостающей формулой приоритетно образующегося в ней вещества: к каждой позиции, обозначенной буквой, подберите соответствующую позицию, обозначенную цифрой.

УРАВНЕНИЕ РЕАКЦИИ

А) К + H2SO4 (разб) → К2(SO4)3 + …

Б) Na + H2SO4 (конц) → Na2(SO4)3 + H20 + …

В) Ca +HNO3 (разб) → CaNO3 + H20 + …

Г) Mg +HNO3 (конц) → MgNO3 + H20 + …

ФОРМУЛА ВЕЩЕСТВА

1) SO2

2) H2S

3) Н2

4) NH4NO3

5) N2O

6) NO2

Запишите в ответ цифры, расположив их в порядке, соответствующем буквам: 3245

20. Установите соответствие между формулой вещества и продуктами, образующимися на инертных электродах при электролизе водного раствора этого вещества.

ФОРМУЛА ВЕЩЕСТВА

А) СH3COOK

Б) KNO3

В) KOH

Г) KCl

КАТОДНЫЙ ПРОДУКТ

1) CH4, CO2, H2

2) H2, O2

3) H2, Cl2, KOH

4) H2, Cl2

5) C2H6, CO2, H2

Запишите в ответ цифры, расположив их в порядке, соответствующем буквам: 5224

21. Для веществ, приведённых в перечне, определите характер среды их водных растворов, имеющих одинаковую концентрацию (моль/л).

1) KHSO4 2) LiNO3 3) NaHCO3 4) NaOH

Запишите номера веществ в порядке уменьшения значения pH их водных растворов: 4321

22. Установите соответствие между внешним воздействием на систему

HCOOH(ж) + C2H5OH(ж) ⇄ HCOOC2H5(ж) + H2O(ж) + Q

и смещением химического равновесия: к каждой позиции, обозначенной буквой, подберите соответствующую позицию, обозначенную цифрой

ВНЕШНЕЕ ВОЗДЕЙСТВИЕ

А) добавление спирта

Б) повышение давления

В) разбавление водой

Г) повышение температуры

ХИМИЧЕСКОЕ РАВНОВЕСИЕ

1) смещается в сторону прямой реакции

2) смещается в сторону обратной реакции

3) практически не смещается

Запишите в ответ цифры, расположив их в порядке, соответствующем буквам: 1322

23. В реактор постоянного объёма поместили некоторое количество оксида азота(II) и кислорода. В результате протекания обратимой реакции

2NO(г) + О2(г) ⇄ 2NО2(г)

в реакционной системе установилось химическое равновесие. Равновесные концентрация NO, О2 и NO2 составили 0,2, 0,4 и 0,8 моль/л соответственно. Используя данные, приведённые в таблице, определите исходные концентрации NO (X) и О2 (Y).

Выберите из списка номера правильных ответов.

1) 0,2 моль/л

2) 0,4 моль/л

3) 0,6 моль/л

4) 0,8 моль/л

5) 1,0 моль/л

6) 1,2 моль/л

Сначала в ответе запишите цифру, соответствующую веществу X, затем цифру, соответствующую веществу Y: 54

24. Установите соответствие между веществами и реагентом, с помощью которого их можно различить: к каждой позиции, обозначенной буквой, подберите соответствующую позицию, обозначенную цифрой.

ВЕЩЕСТВА

A) H2 и NH3

Б) CO и CO2

В) SO2 и CO2

Г) CH3COOH и HCOOH

РЕАГЕНТ

1) KMnO4 (разб.)

2) Ba(OH)2

3) Сu(OH)2

4) H2SO4

5) K2SO4

Запишите в ответ цифры, расположив их в порядке, соответствующем буквам: 3113

25. Установите соответствие между веществом и основной областью его применения: к каждой позиции, обозначенной буквой, подберите соответствующую позицию, обозначенную цифрой.

ВЕЩЕСТВО

А) Калийная селитра

Б) Пероксид натрия

В) Литий

ПРИМЕНЕНИЕ

1) удобрение

2) регенерация воздуха

3) аккумуляторы смартфонов

4) для мытья рук и стирки белья

Запишите в ответ цифры, расположив их в порядке, соответствующем буквам: 123

26. В 40 г 10% раствора сульфата натрия растворили дополнительно еще 3,22 г глауберовой соли (декагидрата этого же вещества). Найдите массовую долю сульфата натрия в полученном растворе (в %).

Запишите число с точностью до сотых: 12,54

27. Тепловой эффект образования хлорида калия равен 436,7 кДж/моль. Рассчитайте объем (н.у.) затраченного хлора в литрах, если в результате реакции выделилось 524 кДж.

Запишите число с точностью до десятых: 13,4

28. Вычислите массовую долю примесей в образце технического кремния массой 3,0 г, если при его растворении в растворе гидроксида натрия выделилось 4,48 л газа (н.у.).

Запишите число с точностью до сотых: 6,67

29. Для выполнения задания используйте следующий перечень веществ:

Перманганат калия, нитрит калия, ацетат магния, хлорид калия, пероксид натрия, серная кислота.

Допустимо использование водных растворов веществ.

Из предложенного перечня выберите вещества, окислительно-восстановительная реакция между которыми протекает c обесцвечиванием раствора.

Запишите уравнение только одной из возможных окислительно-восстановительных реакций с участием выбранных веществ. Составьте электронный баланс, укажите окислитель и восстановитель.

2 KMnO4 + 5 KNO2 + 3 H2SO4 → 5 KNO3 + K2SO4 + 2 MnSO4 + 3 H2O

2 Mn+7 + 10 e- → 2 Mn+2

5 N+3 - 10 e- → 5 N+5

KMnO4 является окислителем, KNO2 является восстановителем.

30. Для выполнения задания используйте следующий перечень веществ:

Перманганат калия, нитрит калия, ацетат магния, хлорид калия, пероксид натрия, серная кислота.

Из предложенного перечня веществ выберите два вещества, между которыми протекает реакция ионного обмена без видимых признаков.

Запишите молекулярное, полное и сокращённое ионное уравнения реакции с использованием выбранных веществ. Допустимо использование водных растворов веществ.

Mg(CH3COO)2 + H2SO4MgSO4 + 2CH3COOH

Mg<2+>+2CH3COO<-> +2H<+>+SO4<2->→Mg<2+>+SO4<2->+2CH3COOH

CH3COO<-> + H<+>→CH3COOH

31. Вещество, полученное на катоде при электролизе раствора иодида натрия с инертными электродами, прореагировало с раствором нитрата алюминия. Жидкость над осадком осторожно выпарили и прокалили, а выделившийся осадок растворили в концентрированном растворе едкого кали.

Напишите уравнения описанных реакций:

2NaI + 2H2O ⟶ H2↑ + 2NaOH + I2

3NaOH + Al(NO3)3⟶ 3NaNO3 + Al(OH)3
2NaNO3⟶ 2NaNO2+ O2

Al(OH)3 + KOH⟶ K[Al(OH)4]

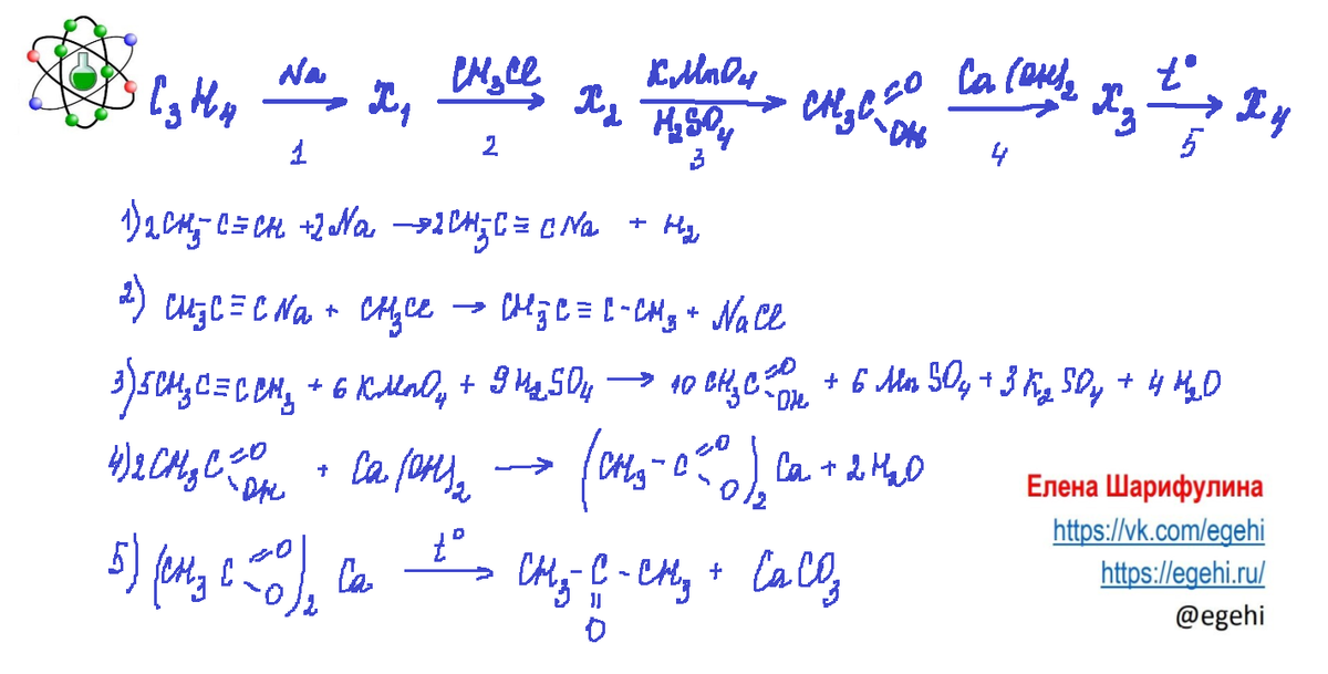
32. Напишите уравнения реакций, с помощью которых можно осуществить следующие превращения:

-2

С3Н4→ (+Na)→ Х1→(+CH3Cl)→X2→(+ KMnO4, H2SO4)→ →СН3СООН→(+Ca(OH)2)→ X3→ (t°)→ Х4

1) 2CH3CCH + 2Na ⟶ 2CH3CCNa + H2

2) CH3CCNa + CH3Cl ⟶CH3CCCH3 + NaCl

3) 5CH3CCCH3+ 6KMnO4+ 9H2SO4 →10CH3COOH+3K2SO4+6MnSO4 +4H2O

4) СН3СООН + Ca(OH)2 ⟶ (СН3СОО)2Ca + 2 H2O

5) (СН3СОО)2Ca ⟶ (t°) СН3СОСН3 + CaCO3

При написании уравнений реакций указывайте преимущественно образующиеся продукты, используйте структурные формулы органических веществ.

33. Вещество А содержит 39,67% углерода, 26,44% кислорода, 32,23% калия по массе и водород. При нагревании вещества А с избытком гидроксида калия образуется органическое вещество Б, которое не обесцвечивает бромную воду. Известно, что функциональные группы в веществе А максимально удалены друг от друга. Напишите уравнение реакции, протекающей при нагревании вещества А с избытком гидроксида калия.

Вариант ответа: Общая формула вещества A – CxHyOzKm

Составлено выражение для определения соотношения числа атомов углерода, водорода, кислорода и калия в составе вещества А:

Установлено соотношение числа атомов C, H, O и K в веществе А:

x :y :z :m=39,67/12 : 1,66/1 : 26,44/16 : 32,23/39=3,306:1,66:1,6525:0,8264 =4:2:2:1

Простейшая формула вещества С4H2O2K, домножим на 2

x :y :z :m=8 : 4 : 4 : 2

Ответ:

1) Молекулярная формула вещества А – C8H4O4K2

2) Приведена структурная формула вещества:

-3

3) Написано уравнение реакции:

-4

34. Смесь оксида и пероксида натрия, в которой соотношение атомов натрия к атомам кислорода равно 5:4, нагрели с избытком углекислого газа. Полученное вещество растворили в воде. В результате образовалось 100 г раствора. К полученному раствору добавили 150,4 г раствора хлорида алюминия. Найдите массовую долю оксида натрия в исходной смеси, если масса конечного раствора 212 г и массовая доля карбоната натрия в этом растворе 5%.

(1) Na2O + CO2 = Na2CO3

(2) 2Na2O2 + 2CO2 = 2Na2CO3 + O2↑

(3) 3Na2CO3 + 2 AlCl3 + 3H2O = 2 Al(OH)3↓ + 3CO2↑ + 6NaCl

1) Пусть n(Na2O) = x моль, n(Na2O2) = y моль, тогда

Na2O Na2O2 сумма

n вещества , моль х y

n (Na) , моль 2x 2y 2x+2y

n (O) , моль x 2y x+2y

N (Na)/ N (O) = n (Na)/ n (O)=5/4

5/4= 2x+2y/x+2y, и y=1.5x

2). Вычислим количество карбоната натрия в конечном растворе
m(Na2CO3)непрореаг. = 0,05 ⋅ 212 = 10,6 г

n(Na2CO3)непрореаг. = 10,6 : 106 = 0,1 моль

Запишем формулу конечного раствора
m(конеч р-ра) = m(исх р-ра) + m( AlCl3)р-ра - m( Al(OH)3) - m(CO2)
n(Na2CO3)прореаг. (1) = n(Na2O) =х моль,

n(Na2CO3)прореаг. (2) = n(Na2O2) = y моль,

n(Na2CO3)общ.прореаг. (1.2) = n( Na2CO3)(1) + n(Na2O2)(2) - n(Na2СO3)(ост) = х+y -0,1= х+1,5х-0,1= (2,5х -0,1) моль

тогда по 3 уравнению m(Al(OH)3) = 2/3 (2,5х -0,1)*78= (130x+5.2) г, m(CO2) = (2,5х -0,1) *44= (110x+4.4)г.

3) Подставим в формулу конечного раствора вычисленные значения и найдем n(Na2CO3)прореаг.
m(конеч р-ра)=m(исх р-ра)+m(AlCl3)р-ра -m(Al(OH)3)-m(CO2)

212 = 100 + 150,4 - (130x+5.2) -(110x+4.4)
В результате вычислений x = 0,2 моль, y=0,2*1,5= 0.3 моль.

4) Вычислим состав исходной смеси
n(Na2O) = 0,2 моль, m(Na2O) = 0,2 ⋅ 62 = 12,4 г

n(Na2O2) = 0,3 моль, m(Na2O2) = 0,2 ⋅ 78 = 23,4 г

и массовую долю оксида: w(Na2O)= 12.4/(12.4+23.4)= 0.346 или 34,6%

Эти и другие варианты в удобном компактном формате лежат в клубе https://vk.com/egehi.

Теория и полезные статьи здесь: https://dzen.ru/egehi

Разбор заданий: https://t.me/egehiElenaSharifulina

Подпишись и поставь лайк, пожалуйста... Когда будет 100 лайков выложу вариант по теме "Алюминий и его соединения"...

Продолжение следует...