Найти в Дзене
Енот-математик

Один сломался, другой потерялся...

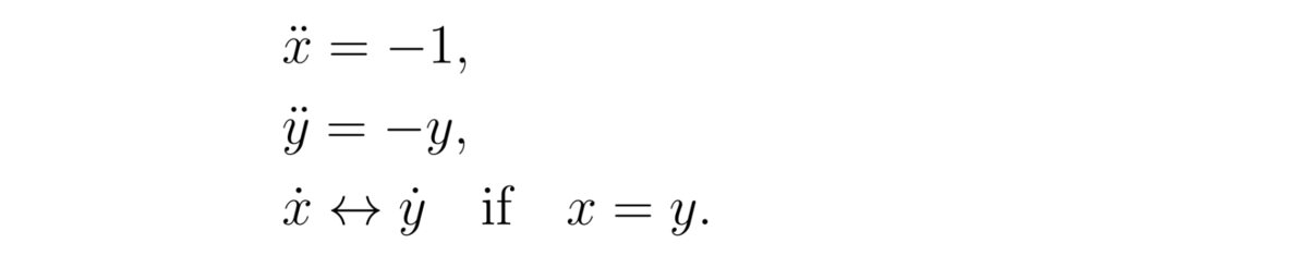
Продолжаем изучать хитрую динамику шарика, прыгающего на подпружиненном столике и рисовать красивые картинки, не теряя при этом из вида нашу глобальную цель — разобраться с возникновением хаоса в такой простой полностью детерминированной динамической системе.5 Вся серия статей тут: В физике под динамикой понимают движение некоторых тел или среды под действием сил, а более общем смысле — изменение состояния системы с течением времени. В математике понятие динамики ещё более абстрактное: это действие непрерывного гладкого отображения на некоторое гладкое многообразие. В нашем случае, многообразие — это пространство всех возможных состояний системы шарик-столик, которое описывается координатами и скоростями обоих тел, а действует на него отображение D, заданное уравнениями движения: Здесь x и y — координаты шарика и столика, точки обозначают производные по времени, а третья строчка определяет условие упругого соударения при котором происходит обмен импульсами между шариком и столиком. Д
Оглавление

Продолжаем изучать хитрую динамику шарика, прыгающего на подпружиненном столике и рисовать красивые картинки, не теряя при этом из вида нашу глобальную цель — разобраться с возникновением хаоса в такой простой полностью детерминированной динамической системе.5

Вся серия статей тут:

Хаос | Енот-математик | Дзен

В физике под динамикой понимают движение некоторых тел или среды под действием сил, а более общем смысле — изменение состояния системы с течением времени. В математике понятие динамики ещё более абстрактное: это действие непрерывного гладкого отображения на некоторое гладкое многообразие. В нашем случае, многообразие — это пространство всех возможных состояний системы шарик-столик, которое описывается координатами и скоростями обоих тел, а действует на него отображение D, заданное уравнениями движения:

Здесь x и y — координаты шарика и столика, точки обозначают производные по времени, а третья строчка определяет условие упругого соударения при котором происходит обмен импульсами между шариком и столиком.

Для того чтобы избежать необходимости работать в четырёхмерном фазовом пространстве (x, , y, ) и исключить явную зависимость от времени, мы сосредоточились на моментах соударений наших тел, когда x = y. Так от отображения D, непрерывного во времени, мы перешли к дискретному отображению

-2

а потом упростили и его до отображения:

-3

которые называются отображениями Пуанкаре. Последнее отображение образует динамику на двумерной сферической поверхности, задаваемой законом сохранения энергии системы.

Последним нашим достижением было осознание того, что всё фазовое пространство (x, , y, ) и его сечения, расслаиваются на инвариантные многообразия — одномерные линии и двумерные поверхности, остающиеся неизменными при действии на них отображения D. Эти многообразия представляют собой замкнутые траектории и торы, которые в сечении Пуанкаре превращаются, в неподвижные точки циклов и в замкнутые орбиты.

-4

В прошлой статье мы увидели, что действие отображения D на двумерные инвариантные торы, окружающие замкнутые периодические траектории, проявляется как вращение. Оно формирует красивое поле скоростей вращения, которое в сечении Пуанкаре выглядит так:

-5

Существование неподвижных точек позволяет торам сменить направление вращения без нарушения непрерывности поля скоростей, но ценой образования дополнительной структуры: цепочки полюсов, окружённых замкнутыми орбитами, и раздёляющих их седловых точек. Но откуда берётся эта смена направления?

Числа вращения и резонансы

С точки зрения топологии, тор представляет собой произведение двух окружностей:

-6

Или, менее формально, это поверхность вращения, получаемая при движении окружности вокруг некоторой внешней оси. Под окружностями в топологии понимается произвольная замкнутая петля, а не только та правильная геометрическая фигура, которую мы проходили в школе. Поскольку тор мы понимаем достаточно обобщённо, вместо образующих его окружностей имеет смысл рассматривать две оси, которые охватывают эти петли: внутреннюю и внешнюю.

Внутренняя (чёрная) и внешняя (зелёная) оси одного из инвариантных торов, рассчитанных для E=1 в проекции (x + y,  ẋ + ẏ,  ẋ – ẏ) .
Внутренняя (чёрная) и внешняя (зелёная) оси одного из инвариантных торов, рассчитанных для E=1 в проекции (x + y, ẋ + ẏ, ẋ – ẏ) .

Действие отображения D на инвариантный тор можно представить как композицию двух смещений вдоль образующих его петель. При этом в сечении Пуанкаре мы видим смещение только по одной из них, которое и воспринимаем как движение, похожее на вращение. По второй образующей фазовая траектория проходит во время между моментами пересечения плоскости x = y, то есть, между столкновениями шарика и столика. Таким образом, траектория отображения D как бы наматывается на тор по винтовой линии, как показано на рисунке:

Расчетная фазовая траектория, образующая тор (синяя линия) и еë сечение Пуанкаре (чёрные точки).
Расчетная фазовая траектория, образующая тор (синяя линия) и еë сечение Пуанкаре (чёрные точки).

По мере этого наматывания, траектория совершает обороты вокруг обеих осей тора. Мы можем подсчитывать число оборотов, совершаемых траекторией вокруг каждой из осей тора и вычислять соотношение, показывающее сколько оборотов вокруг внутренней оси приходится на один оборот вокруг внешней. Это число называется числом вращения инвариантного тора. Обратите внимание на то, что эта числовая характеристика является чисто топологической и не меняется при непрерывных искажениях тора, так что ни его форма, ни форма траектории, ни параметризация траектории по времени не играют никакой роли. Это делает число вращения характеристикой, однозначно определяемой для каждого инвариантного тора.

И тут возможны два качественно разных варианта.

  • Число вращения иррационально. В этом случае фазовая траектория никогда не замкнëтся и плотно заполнит всю поверхность инвариантного тора.
  • Число вращения рационально и выражается дробью n/m. В этом случае фазовая траектория, совершив m оборотов вокруг внутренней оси, сделает ровно n оборотов вокруг внешней оси тора, и должна замкнуться. Такой случай называется резонансом. При этом движение вдоль сечения по петле, окружающей внутреннюю ось, останавливается, инвариантный тор разрушается и превращается в одномерную замкнутую траекторию, а еë сечение Пуанкаре — в цикл.

Получается, в разрушении инвариантных торов и в появлении всех нетривиальных циклов повинны резонансы — рациональные числа вращения.

В прошлый раз мы говорили о том, что непрерывность отображения D приводит к непрерывности поля смещений фазового пространства, которое они образуют. А в непрерывном поле скоростей неподвижные точки цикла должны образовывать цепочку полюсов и седловых точек, формируя эллиптический и гиперболический циклы. Порядок циклов на которые распадается резонансный инвариантный тор, определяется его числом вращения, а именно, его знаменателем.

Например, тор с числом вращения 1/4 распадëтся на две замкнутые траектории (устойчивую и неустойчивую), каждая из которых перед тем как замкнуться, совершит 4 оборота вокруг внутренней оси и один оборот вокруг внешней. Эти петли создадут восемь неподвижных точек четвёртого порядка в сечении Пуанкаре: четыре полюса и четыре седловые точки. При этом эллиптическая замкнутая траектория станет внутренней осью для семейства новых инвариантных торов.

-9

На поле скоростей мы наблюдали ещё одну примечательную особенность: смену направления вращения инвариантных торов по разную сторону от распавшегося резонансного тора. Этой смене можно дать красивое объяснение, сравнив резонанс инвариантного тора с резонансами в стробоскопическом эффекте. Вспомните, как в кино движутся спицы вращающегося колеса. Давайте посмотрим на этот эффект в чистом виде, "вращая" одну спицу с разной скоростью и с фиксированной частотой смены кадров.

На экране компьютера и телефона картинка может отличаться из-за разницы в частоте отрисовки кадров.
На экране компьютера и телефона картинка может отличаться из-за разницы в частоте отрисовки кадров.

По мере замедления частоты вращения спицы, начинают появляться резонансы третьего, четвёртого, пятого и больших порядков. При переходе через резонанс небольшие "перелëты" сменяются небольшими "недолëтами" картинки между кадрами, видимое движение замедляется, останавливается и меняет направление. Точно такой же эффект наблюдается и в динамике инвариантных торов.

Структура циклов

-11

Взглянем ещё раз на карту орбит системы при E = 1. Мы отчётливо видим карте орбит циклы небольшого порядка: четвёртого, пятого, шестого. Между ними проявляются цепочки овальных орбит, окружающих циклы более высоких порядков. Есть ли какая-то закономерность в их расположении? И почему мы не видим циклов второго и третьего порядков?

Мы связали возникновение циклов и рациональностью числа вращения инвариантного тора. Как известно, рациональные числа образуют плотное множество, это значит, что между любыми двумя такими числами на числовой прямой обязательно найдëтся третье, а следовательно, и четвëртое с пятым и, вообще, сколько угодно чисел. Получается, резонансные торы, распадающиеся на циклы, должны встречаться повсюду и в неограниченном количестве, плотно заполняя фазовое пространство. Однако, с другой стороны, множество иррациональных чисел на этой же числовой прямой образует континуум, который настолько мощнее множества рациональных чисел, что вероятность наугад выбрать рациональное число из отрезка числовой прямо стремится к нулю. Так что случайно попасть на резонансный тор, выбирая точки фазового пространства, практически невозможно, и следовательно, мы должны наблюдать преимущественно не разрушенные, сплошные торы, окружающие либо полюс p¹, либо какие-то полюсы более высокого порядка. В экспериментах мы видим что-то среднее: несколько ярко выраженных резонансов низкого порядка, которые проявляются в виде деформации многочисленных инвариантных торов с иррациональными числами вращения.

Дело в том, что непрерывность отображения П приводит к непрерывности поля скоростей вращения инвариантных торов, а это, в свою очередь, делает непрерывным и отображение между торами и их числами вращения. Таким образом, при непрерывном переходе от тора с резонансом m₁/n₁ до тора с резонансом m₂/n₂, мы должны пройти по непрерывному отрезку чисел вращения в интервале от m₁/n₁ до m₂/n₂.

Чем больше оказывается знаменатель у числа вращения цикла, тем больше его порядок и тем более плотную цепочку полюсов и седловых точек он образует. Циклы с порядком больше 20 мы уже воспринимаем, как тонкую пунктирную линию и с трудом отличаем от нерезонансных инвариантных торов. Так что заметно выделяются среди сплошных орбит только циклы небольших порядков.

Отсюда мы приходим к вопросу теории чисел о взаимном расположении дробей с наименьшими знаменателями. Для указанных двух дробей найти дробь, лежащую между ними, имеющую наименьший возможный знаменатель позволяет операция, которая называется медиантой и является одним из корректных способов вычисления среднего значения:

-12

Для всего множества рациональных чисел можно построить иерархию дробей по знаменателям, согласованную с отношением порядка на числовой прямой, которое называется деревом Штерна-Броко. Я уже рассказывал немного об этом здесь.

Например, между резонансами 1/4 и 1/5 могут лежать только торы, с числами вращения в диапазоне от 1/5 до 1/4. Дробь с наименьшим знаменателем получаем, как медианту 1/4 ⊕ 1/5 = 2/9, следовательно, между этим двумя резонансами будет наблюдаться цикл с наименьшим периодом, равным девяти. Строя дерево Штерна-Броко для этого интервала, мы получаем взаимное расположение резонансов

Дерево Штерна-Броко для всех дробей со знаменателями меньше 25, лежащих между 1/5 и 1/4.
Дерево Штерна-Броко для всех дробей со знаменателями меньше 25, лежащих между 1/5 и 1/4.
Резонансы, соответствующие дробям из дерева Штерна-Броко
Резонансы, соответствующие дробям из дерева Штерна-Броко

Теперь становится понятным, почему около крупных структур, образуемых циклами малых порядков, мы наблюдаем исключительно сплошные линии орбит — чем ближе мы подходим к рациональному числу, тем большие знаменатели будут иметь резонансы.

Теперь мы можем объяснить почему мы не видим циклов второго и третьего порядков. Дело в том, что вокруг полюса p¹ отображение П действует, как поворот фазового пространства на угол чуть больше четверти полного оборота — на 91.4°. Это задаëт предельную величину для чисел вращения торов, окружающих p¹, приблизительно равную 0.2536, то есть, лишь немного отличающуюся от 1/4. А между 1/4 и этим числом не располагаются ни 1/3, ни 1/2, всё они существенно больше.

А есть ли какая-то нижняя граница на числа вращения инвариантных торов? Отображение имеет неподвижную точку p⁰, которая является вырожденным узлом и в окрестности которой движение торов останавливается. Следовательно, торы по мере приближения к линии экватора θ = 0, будут замедлять скорость движения до остановки, а их резонансы будут иметь всё большие и большие знаменатели. Нижней границей является 0.

Таким образом, используя закономерности расположения рациональных чисел на числовой прямой, мы можем дать исчерпывающее качественное и количественное описание структуры всех циклов в нашей системе. Все резонансы будут располагаться в соответствии с деревом Штерна-Броко на интервале от 0 до предельного числа вращения, соответствующего скорости вращения полюса p¹, которая, в свою очередь, вычисляется, как отношение аргумента собственных чисел якобиана в полюсе к 2π.

При уменьшении энергии, предельное число вращения будет уменьшаться. Вот как выглядит его зависимость от энергии.

-15

При E < 0.95 невозможным будет уже цикл 4 порядка, а цикл 5-го порядка исчезнет при E < 0.4. Кроме того, при уменьшении энергии резонансные структуры становятся менее выраженными и в меньшей степени деформируют окружающие их орбиты.

Давайте посмотрим как периодические орбиты выглядят на карте для E = 1:

-16

Если внимательно просмотреть все двадцать примеров, то можно обратить внимание на то, как перед тем, как замкнуться, цикл порядка m может совершить n оборотов вокруг полюса p¹. что является хорошей демонстрацией числа резонансного числа вращения n/m.

Циклы, по-видимому, существуют как в упорядоченной, так и в хаотической области. Неужели они способный сохранить устойчивость в море хаоса? Это можно определить вычислив собственные числа якобиана в неподвижных точках. Рассмотрим, например, циклы с числами вращения 1/9 и 2/9. Вот спектры якобиана для этих случаев:

-17

Получается, что цикл 1/9 из эллиптического превратился в гиперболический, тогда как цикл 2/9 остался устойчивым. Это говорит о том, что хаотическая область, поглощая цикл, каким-то образом разрушает его.

О том, какие тёмные дела творятся в хаотической области, мы поговорим в следующий раз: