Добавить в корзинуПозвонить
Найти в Дзене
Енот-математик

Превращаем ошибку в инструмент

Мне доводилось преподавать математику школьникам 5-7 классов. Ученики любопытны и ученики не любят, когда им указывают на ошибки. Это можно использовать. Если вместо того, чтобы сказать: «Неправильно! Садись.», воскликнуть: «Ну и ну, знаешь, что у тебя получилось!?», то ошибка превратится в небольшое приключение. Предположим, ученик пишет на доске: Понятно, дробь внезапно превратилась в вектор! Не удивительно, это ведь куда проще, чем невесть откуда взявшиеся 5/6. К тому же, перемножаем мы дроби как раз именно так: числитель — с числителем, знаменатель — с знаменателем. Вот бы и складывать так же! Давайте-ка спросим себя (и заодно, весь класс): «Получилась ли наша сумма больше обоих слагаемых?» Сравнивать дроби полезно, особенно, изображая их на числовой прямой. Рисуем и видим, что результат 2/5 лежит где-то посередине между 1/2 и 1/3 . Вряд ли это сумма, скорее, какое-то среднее значение. Вот тут-то и можно воскликнуть: «А знаете, что мы получили вместо суммы? — Медианту!» Это ещё оди

Мне доводилось преподавать математику школьникам 5-7 классов. Ученики любопытны и ученики не любят, когда им указывают на ошибки. Это можно использовать. Если вместо того, чтобы сказать: «Неправильно! Садись.», воскликнуть: «Ну и ну, знаешь, что у тебя получилось!?», то ошибка превратится в небольшое приключение. Предположим, ученик пишет на доске:

Понятно, дробь внезапно превратилась в вектор! Не удивительно, это ведь куда проще, чем невесть откуда взявшиеся 5/6. К тому же, перемножаем мы дроби как раз именно так: числитель — с числителем, знаменатель — с знаменателем. Вот бы и складывать так же!

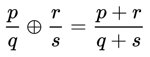
Давайте-ка спросим себя (и заодно, весь класс): «Получилась ли наша сумма больше обоих слагаемых?» Сравнивать дроби полезно, особенно, изображая их на числовой прямой. Рисуем и видим, что результат 2/5 лежит где-то посередине между 1/2 и 1/3 . Вряд ли это сумма, скорее, какое-то среднее значение. Вот тут-то и можно воскликнуть: «А знаете, что мы получили вместо суммы? — Медианту!» Это ещё один способ вычисления среднего значения, для двух чисел, которое можно использовать наряду со средним арифметическим и средним геометрическим. Вот как она определяется для рациональных чисел:

-2

Медианта всегда лежит между операндами, для одинаковых чисел равна им обоим, ассоциативна, то есть, если часть усредняемых чисел заменить их средним, то общее среднее не изменится и т.д. В общем, нормальное, такое, среднее значение.

Но есть у медианты одна важная особенность. Если для двух дробей p/q и r/s, выполняется равенство |psqr| = 1, то их медиантой будет дробь с наименьшим возможным знаменателем, лежащая между ними. Наши школьные дроби 1/2 и 1/3 как раз такие: |2 · 1 - 3 · 1| = 1. Между числами 1/3 и 1/2 не помещается ни одна дробь со знаменателем 4. А вот 1/3 ⊕ 1/2 = 2/5 очень даже помещается!

Это свойство медианты позволяет построить одну из систем нумерации рациональных чисел: дерево Штерна-Броко:

-3

Да, все рациональные числа можно пронумировать! А это значит, что их «столько же», сколько и натуральных чисел, не больше, но и не меньше.

Для построения этого дерева вводится новый формальный символ (не число) 1/0, играющий роль «бесконечности». А дальше последовательно находятся медианты между соседними числами и дерево заполняется этаж за этажом. Каждое рациональное число в этом дереве встречается один и только один раз. Чтобы перечислить все рациональные числа на свете нужно всего лишь, пройти по дереву в порядке «сверху-вниз, слева-налево»:

{1/1, 1/2, 2/1, 1/3, 2/3, 3/2 ,3/1, …}.

Эта система нумерации оказалась полезной в дискретной математике, предлагая для любого числа элегантную кодировку его рационального приближения дробями с наименьшими знаменателями. Вообще говоря, она не столько полезна для самих вычислений, сколько для доказательства корректности алгоритмов вычислений с рациональными числами.

Но медианта, согласитесь, весьма своеобразное среднее. Куда привычнее среднее арифметическое. А что мы получим, если заменим при построении этого дерева операцию ⊕ на взятие среднего? При этом формально положим, что средним между числом a и символом 1/0, будет число a.

В таком случае в узлах нашего дерева тоже окажутся дроби, но знаменатели во всех них будут степенями двойки. Эти два дерева дают возможность построить отображение между дробями, которое называется функцией Минковского и обозначается довольно странно — вопросительным знаком, вот так: ?(x). С её помощью можно перенумеровать элементы расширения поля рациональных чисел квадратичными иррациональностями, то есть, корнями всех алгебраических уравнений второго порядка с рациональными коэффициентами. Не уверен, что большинство моих читателей впечатлит эта возможность, но функция такая есть и используется с 1904 года, когда её определил Герман Минковский в своём труде "Zur Geometrie der Zahlen" ("О теории чисел"). Потом детальный анализ этой функции был представлен в работе Арно Денджоя в 1938 году, а много позже независимо от Минковского обратную ей функцию определил знаменитый Джон Конвей, исследователь монструозных групп, создатель игры "Жизнь" и стрелочной нотации для очень-очень-преочень больших чисел.

До каждого рационального числа можно добраться, спускаясь по дереву Штерна-Броко, а функция Минковского как бы «отслеживает повороты» при этом спуске и позволяет преобразовать все рациональные числа в двоично-рациональные, то есть, в дроби со знаменателем, являющимся степенью двойки. Таких чисел «меньше» чем рациональных, ведь они — всего-лишь подмножество рациональных чисел. Таким образом, можно сказать, что функция Минковского позволяет «разредить» плотное множество рациональных чисел. А раз так, то в него можно «вместить» что-нибудь ещё. Это и было целью исследования Германа Минковского.

А как можно получить дробь с иным знаменателем из двоично-рациональном представления числа? Также как в десятичной системе счисления всем числам со знаменателями, не кратным степеням десяти, соответствуют бесконечные периодические дроби, в двоичных дробях тоже можно организовать периодическое повторение. Если спускаться по дереву Штерна-Броко, по конечному маршруту, получится рациональное число. А если следовать какой-то бесконечно повторяющейся периодичной последовательности, то можно сколь угодно близко подбираться к некоторым иррациональным числам. А именно, к таким, которые имеют вид p + √q, где p и q — рациональные числа.

Таким образом, функция Минковского помещает в освободившееся «пространство» между прореженными рациональными числами все квадратичные иррациональности, причём она это делает очень аккуратно: монотонно, непрерывно и с сохранением порядка. Для того, чтобы почувствовать как это круто попробуйте как-нибудь раздвинуть множество натуральных чисел (умножением на два или ещё как-нибудь) и поместить между ними числа √n, которых, понятно, столько же, сколько и натуральных. Но сделать это надо с сохранением порядка и одним универсальным преобразованием. Минковский смог!

Так что, хоть построение этой функции поначалу кажется искусственным, тем не менее, работает она весьма естественным образом. При этом ей присущ ряд замечательных не очевидных симметрий, она имеет фрактальный график и не смотря на непрерывность, имеет почти всюду нулевую производную, которая равна нулю в рациональных аргументах и бесконечности — в иррациональных. Кстати, производная этой функции привлекает математиков чуть ли не больше, чем сама функция.

График функции Минковского.
График функции Минковского.

Вот так, наивный и неверный способ сложения дробей может стать инструментом в теории чисел. Напоследок приведу ещё пару красивых картинок.

Функция Минковского позволяет изменить способ построения множества рациональных чисел, причём не только алгебраический способ, но и геометрический. Например, круги Форда он превращает в квадраты, а ковёр Аполлония — в треугольник Серпинского, как показано на рисунках.

Действие функции Минковского на круги Форда. Дроби показывают соответствующие друг другу фигуры.
Действие функции Минковского на круги Форда. Дроби показывают соответствующие друг другу фигуры.
Изоморфизм между ковром Аполлония и треугольником Серпинского описывается с помощью прямой и обратной функций Минковского.
Изоморфизм между ковром Аполлония и треугольником Серпинского описывается с помощью прямой и обратной функций Минковского.