Добавить в корзинуПозвонить
Найти в Дзене
Широков Александр

Школьные задачи / Алгебра / А-61

Найдите точки плоскости, координаты которых удовлетворяют следующим условиям: x² + x – 2 = 0 и y² – 2y – 3 = 0 Каждое из условий является квадратным уравнением. У x² + x – 2 = 0 корни несложно отыскать с использованием теоремы Виета: под числа, сумма которых равна –1, а произведение –2 подходят x₁ = 1, x₂ = –2. Применяя эту же теорему к y² – 2y – 3 = 0 получаем, что y₁ = –1, y₂ = 3. Так как x и y не зависящие друг от друга переменные, то решения будут получаться из соображений о том, что для каждого конкретного значения x будет подходить каждое из значений y. Таким образом решения системы будут представлять собой все сочетания (x; y), которых может быть четыре: (1; –1), (1; 3), (–2; –1), (–2; 3). (1; –1), (1; 3), (–2; –1), (–2; 3) В задаче идёт речь выполнении сразу двух условий, описываемых квадратными уравнениями. В математике для обозначения одновременности требований используется фигурная скобка и на основании этого задание может быть сформулировано как система уравнений нескол
Оглавление

Задание

Найдите точки плоскости, координаты которых удовлетворяют следующим условиям:

x² + x – 2 = 0 и y² – 2y – 3 = 0

Решение

Каждое из условий является квадратным уравнением. У

x² + x – 2 = 0

корни несложно отыскать с использованием теоремы Виета: под числа, сумма которых равна –1, а произведение –2 подходят x₁ = 1, x₂ = –2. Применяя эту же теорему к

y² – 2y – 3 = 0

получаем, что y₁ = –1, y₂ = 3. Так как x и y не зависящие друг от друга переменные, то решения будут получаться из соображений о том, что для каждого конкретного значения x будет подходить каждое из значений y. Таким образом решения системы будут представлять собой все сочетания (x; y), которых может быть четыре: (1; –1), (1; 3), (–2; –1), (–2; 3).

Ответ

(1; –1), (1; 3), (–2; –1), (–2; 3)

Комментарий

В задаче идёт речь выполнении сразу двух условий, описываемых квадратными уравнениями. В математике для обозначения одновременности требований используется фигурная скобка и на основании этого задание может быть сформулировано как система уравнений несколько необычного вида – в каждом из них фигурирует только одно неизвестное:

Такую систему можно решать обычными способами – аналитическим или графическим, подобно тому, как это было показано в разборе задания А‑59:.

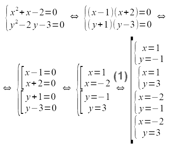
Первый вариант подразумевает следующую череду равносильных преобразований:

-2

Переход (1) от системы из двух объединений к объединению из четырёх систем (т. е. к конечным решениям исходной системы) получается, если четырём математическим высказываниям присвоить условные буквенные обозначения

A: x = 1

B: x = –2

C: y = –1

D: y = 3

и, заменив квадратные скобки (символ объединения) на знак сложения, а фигурную скобку (символ системы) – на знак умножения, записать систему из двух объединений в виде

(A + B)·(C + D) ,

после чего раскрыть скобки по обычным алгебраическим правилам

(A + B)·(C + D) = A·C + A·D + B·C + B·D

а далее снова вернуться к прежним обозначениям.

Графический способ решения системы представлен на рис. 1. Графики первого и второго уравнений системы представляют пары прямых линий, а решения являются точками пересечения этих линий. Как легко видеть, координаты их есть (1; –1), (1; 3), (–2; –1), (–2; 3).

.Рис. 1.
.Рис. 1.

На текущий момент изложенное выше является отредактированной версией – изначальный вариант упражнения был сформулирован именно как система уравнений. Дело в том, что спустя некоторое время после его опубликования на Дзене появилось два комментария от пользователей «Василий Маракуев» и «Галина Легенченко»:

-4

В связи с действительно своеобразным видом записи условия задачи как системы уравнений я решил прислушаться и учесть высказанные замечания, постаравшись изменить данную публикацию так, чтобы формулировка самого задания вопросов не вызывала.

Другие задания, имеющиеся на канале, можно найти здесь:

Школьные задачи | Широков Александр | Дзен

-5

Перечень публикаций на канале
Широков Александр2 декабря 2020

-6