Найти в Дзене
Пифагор Цыбулько

Топ 5 самых теоретистых теорем

"Математика это скучно" - так может сказать каждый. А что, если я вам докажу, что теоремы это весело и увлекательно. Нет. Не докажу, а просто подтвержу ваше высказывание. P.S. Все-таки "Топ 3", автор сдулся и решил поесть после третьей, а после еды полагается (по завету Ильи Ильича Обломова) поспать. Теорема 1 Фалеса Если кратко, то это та самая, которую мы и так интуитивно понимаем, но умный дяденька Фалес Милетский решил войти в историю и присвоил себе итак понятное знание. Что, в принципе, не удивительно, ведь его мать Клеобулина тоже была не лыком сшита и писала размером гексаметрического стиха. (Вероятно, это тот самый размер, который спрашивали на регионе по литературе в 2022 году МО)... Хотелось бы объяснить, что это такое и когда это использовать, но будет удобнее просто прочитать отрывок перевода "Одиссеи", выполненный Максимом Амелиным как раз гексаметрическим стихом. Муза, вещай мне о муже испытанном, кто поскитался много с тех пор, как поверг священную Трои твердыню, гр

"Математика это скучно" - так может сказать каждый. А что, если я вам докажу, что теоремы это весело и увлекательно. Нет. Не докажу, а просто подтвержу ваше высказывание.

P.S. Все-таки "Топ 3", автор сдулся и решил поесть после третьей, а после еды полагается (по завету Ильи Ильича Обломова) поспать.

Теорема 1

Фалеса

Если кратко, то это та самая, которую мы и так интуитивно понимаем, но умный дяденька Фалес Милетский решил войти в историю и присвоил себе итак понятное знание. Что, в принципе, не удивительно, ведь его мать Клеобулина тоже была не лыком сшита и писала размером гексаметрического стиха. (Вероятно, это тот самый размер, который спрашивали на регионе по литературе в 2022 году МО)... Хотелось бы объяснить, что это такое и когда это использовать, но будет удобнее просто прочитать отрывок перевода "Одиссеи", выполненный Максимом Амелиным как раз гексаметрическим стихом.

Муза, вещай мне о муже испытанном, кто поскитался

много с тех пор, как поверг священную Трои твердыню,

грады многих племен повидал и нравы изведал,

много и на море вынес напастей сердцем отважным,

спутникам и своей душе взыскуя возврата.

Но не сберег все равно сопутников, сколь ни старался, —

собственным погубили они себя безрассудством…

Ну как? Лично я вижу здесь только ритм, за счет которого достигается некое уподобление стихотворению, хотя не настаиваю на своей правоте.

Напомню, что мы отвлеклись. Итак, теорема Фалеса.

"Если на одной из двух прямых отложить последовательно несколько равных между собой отрезков и через их концы провести параллельные прямые, пересекающие вторую прямую, то они отсекут на второй прямой равные между собой отрезки". Умно, ничего не скажешь. А если для гуманитариев, то "если взять две линейки (можно с разными делениями) и провести прямые через деления с одинаковыми циферками, то проведенные прямые будут параллельны" - это обратная теорема Фалеса. А "прямая" теорема, это когда сначала проводят параллельные прямые, а потом все математики удивляются, что и на второй линейке получились деления, расстояния между которыми равны.

О, как!

Теорема 2

Виета

Невероятная, самая удобная, наикратчайшая, простейшая теорема, которой пользуются только профильники. А для будущих журналистов, историков, режиссеров и врачей существует не менее приятное решение квадратных уравнений через дискриминант. Но об этом позже. Да, и, надо сказать, это не совсем теорема, а скорее формулы для нахождения корней через коэффициенты уравнения.

Так вот. Жил был дядюшка Виет или, как я читаю в Гугле, сеньор де ля Биготьер. Эх, а так хотелось "де Ла Фер". Интересный факт: Я настолько невнимательно читаю, что только в пятнадцать поняла, что Мойдодыр это мой до дыр, а Сталинград это город Сталина. Более того, только сейчас поняла, что Феба зовут "Фебом" (СПБ), а не "Фером". Можно поздравить меня с отличной памятью и умением читать книги.

Еще один интересный факт. В переводе с французского "fere" (там еще палочка над первым слогом) - "брат", но если написать неправильно, то есть сначала на русском "Фер" (переводчик на французский выдаст "fer"), а потом перевести обратно, то вы получите "утюг". Очень позитивно, а главное практично.

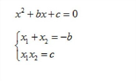
Перейдем непосредственно к формулам. "Сумма корней x^2+bx+c=0 равна второму коэффициенту с противоположным знаком, а произведение корней равняется свободному члену".

Проще формулу выучить.

-2

Какая красота!

Теорема 3

Косинусов

Мое любимое. Это та самая теорема, которую однажды пришлось выучить, и теперь я пытаюсь ее впихнуть в любое мне непонятное решение. Однако, насколько мне известно, некоторым наоборот очень трудна эта теорема, так как употребляется нечасто, а незаменима лишь в тех случаях, когда уже окончательно утекла из памяти. И только на РНО можно сказать "Ах, ну да, конечно, я ее помню, просто почему-то запамятовал на работе. Ай-ай-ай, как жалко. Но я ее конечно помню, давайте снимете полбалла, а не балл" и глазами кота из Шрека смотреть на учителя. Но, как правило, такое работает раз в год, и то не у всех.

Ближе к делу. Эту теорему придумал дедушка Евклид, но не сам. Если посмотреть на формулу, то он слизнул больше половины у всеми любимого Пифагора (да-да, этот тот самый, который носит равносторонние штаны) и в конце добавил свои букво-циферки. Интересный дядя, получается. Однако это уже неважно.

Если по-умному: "Квадрат стороны треугольника равен сумме квадратов двух других сторон минус удвоенное произведение этих сторон на косинус угла между ними". Если по-моему: "Пишем теорему Пифагора (неважно какой треугольник, вместо гипотенузы любая сторона), добавляем "-2" умноженное на так называемые катеты (понятно, что несуществующие в тупом или остром треугольнике) и на косинус угла между этими "катетами".

Не могу сказать, что это намного проще, по сравнению с первоначальной формулировкой, но мне просто мучительно тошно учить эти "квадрат стороны треугольника..."

-3

Какой молодец!

Всем всего!

Перед тем, как критиковать вспомните...

"А судьи кто?"