Добавить в корзинуПозвонить
Найти в Дзене
Блокнот математика

Эксперимент Айвса: 80 лет прямому измерению замедления времени

Коснемся экспериментального подтверждения теории относительности, а именно - эксперимент Айвса по прямому измерению замедления времени...

Коснемся непрофильной для канала темы: экспериментального подтверждения теории относительности. Экспериментов было поставлено уйма, самых разных, и не для того, чтобы упертых убедить, нет — чтобы нащупать границы применимости теории.

Бергман в своем учебнике "Введение в теорию относительности" (1942 г.) пишет про опыты, поставленные к его времени: Майкельсона и Морлея (так в русском переводе) и Физо, и сообщает, что они были многократно повторены: Кеннеди (1926), Пикар (1926), Миллер (1933), Йоос (1930). При этом Бергман прямо пишет, что Миллер получил результат, противоречащий всем остальным. Уже после выхода книги эксперимент Миллера был повторен и показал то, что нужно, то есть Миллер ошибся. Но до сих пор можно увидеть откровения про святого Миллера, что опроверг теорию относительности, а ученые "замалчивают". Как видите, не замалчивают.

Вообще, надо уяснить, как работает экспериментальная наука. Один эксперимент ничего не значит, кто бы его не ставил, какие бы свидетели ни расписались кровью и сколько раз бы он ни был повторен тем же человеком. Чем сильнее отличается результат от ожиданий, тем важнее независимое подтверждение этого результата. Особняком идут крупные интернациональные проекты вроде LIGO или LHC: там люди знают, что ищут, и данные открыты. Но об этом в другой раз.
Так вот, если Миллер намерял эфирный ветер, а ни до, ни после него ничего такого не обнаружили, то одно из двух: либо ошибся/соврал Миллер, либо ошиблись/соврали все до и после него. Вторая версия вполне разумна, в конце концов, масонов и рептилоидов никто не отменял, ну так и опыт почти столетней давности повторить дело не хитрое. Повторите, и поговорим.

Еще у Бергмана упомянут эксперимент Айвса (Ives, 1938). В этом опыте напрямую померено замедление времени, и о нем я расскажу, ибо поучительно.

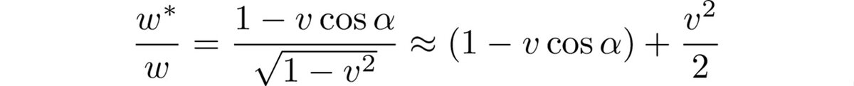
Есть такой эффект Доплера. Все знают. Есть классическая формула изменения частоты волны при движении приемника, а есть релятивистская; первая есть приближение второй при малых (относительно скорости света) скоростях. Вот релятивистская формула:

Здесь w — частота в подвижной и неподвижной системе отсчета, v скорость в долях скорости света, α — угол между направлениями волны и скорости.
Здесь w — частота в подвижной и неподвижной системе отсчета, v скорость в долях скорости света, α — угол между направлениями волны и скорости.

Во второй части формулы в скобках классическая формула и к ней релятивистская поправка, которая от направления скорости не зависит.

Айвс измерял излучение каналовых лучей: это ионы, разогнанные электрическим полем и пролетающие на большой скорости в дырку в катоде (канал). Скорость была около 0.6% скорости света, что дает поправку порядка 0.002%. Мало, но измеримо.

Д-р Айвс
Д-р Айвс

Важно было исключить классический эффект первого порядка. Для этого эффект измерялся по ходу и против хода, и сравнивался с излучением атома в покое. Усреднение картинки по ходу и против в точности сокращает классический эффект, но не влияет на релятивистский. Отношение частот должно равняться множителю Лоренца.

Естественно, равняется.

Естественно, эксперимент многократно повторен (в 1941 самими авторами (Ives et al, более тонкий эксперимент), какие-то вариации были аж в 2010 и 2014, то есть буквально вчера.

Сам Айвс не принимал теорию относительности, и это нормально для того времени. Эйнштейн не принимал квантовую механику и, пытаясь ее опровергнуть, внес в нее большой вклад. Айвс — аналогично. По сути, он изложил теорию относительности в другой форме, и его друзья-коллеги не смогли убедить его, что его выкладки с СТО вполне совместимы.

Что тут приятно: это прямое измерение замедления времени, не так ли? Частота это величина, обратная времени. Можно перевернуть соотношение и получится, что отношение периодов (в секундах) электромагнитных колебаний равно множителю Лоренца, то есть период сокращается. Пролетевший в дырку ион движется по инерции и не может ничего знать о своем движении. Все безупречно.

И это прекрасно, я считаю. До встречи.

Путеводитель по каналу и оглавление рубрики