Найти в Дзене
Учение с печеньем

Решение уравнений с логарифмами (ЕГЭ 11 класс; задания из теста)

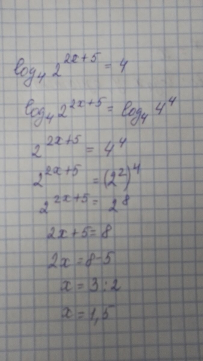
/Логарифм положительного числа х - это показатель степени, в которую нужно возвести число а, чтобы получить х/. Пример 3 Найти: lg 8х = lg (16 - 2х). /Так как равны основания, то равны степени, то есть/ 8х - 4 = 16 - 2х; 8х + 2х = 16 + 4; 10х = 20; х = 20:10; х = 2. Ответ: 2. Пример 45 Найти: lg 4х = lg (6 - 2х) Так как равны основания, то равны степени, то есть 4х = 6 - 2х, 4х + 2х = 6, 6х = 6, х = 1. Ответ: 1. Пример 77 Найти: ln (44х - 22) = lg (88 + 22х) |Так как равны основания, то равны степени, то есть| 44х - 22х = 88 + 22; 22х = 110; х = 5. Ответ: 5. Пример 7 log 2 (4х + 5) = 16 log 2 (4х + 5) = log 2 (2^4), 4х + 5 = 2^4 4х = 16 - 5, 4х = 11 х = 11/4 х = 2 3/4 Ответ: 2 3/4. |#ЕГЭ #уравнения с логарифмами #математика #задания #экзамен #домашняя работа по математике|

/Логарифм положительного числа х - это показатель степени, в которую нужно возвести число а, чтобы получить х/.

-2

Пример 3

Найти: lg 8х = lg (16 - 2х).

/Так как равны основания, то равны степени, то есть/

8х - 4 = 16 - 2х;

8х + 2х = 16 + 4;

10х = 20;

х = 20:10;

х = 2.

Ответ: 2.

Пример 45

Найти: lg 4х = lg (6 - 2х)

Так как равны основания, то равны степени, то есть

4х = 6 - 2х,

4х + 2х = 6,

6х = 6,

х = 1.

Ответ: 1.

Пример 77

Найти: ln (44х - 22) = lg (88 + 22х)

|Так как равны основания, то равны степени, то есть|

44х - 22х = 88 + 22;

22х = 110;

х = 5.

Ответ: 5.

Пример 7

log 2 (4х + 5) = 16

log 2 (4х + 5) = log 2 (2^4),

4х + 5 = 2^4

4х = 16 - 5,

4х = 11

х = 11/4

х = 2 3/4

Ответ: 2 3/4.

|#ЕГЭ #уравнения с логарифмами #математика #задания #экзамен #домашняя работа по математике|