Добавить в корзинуПозвонить
Найти в Дзене
Control myLab

Как рассчитать случайную погрешность прямого измерения

В статье представлен метод расчета случайной погрешности прямого измерения. К прямым измерениям относят нахождение величины из опытных данных с помощью прибора. К прямым измерениям можно отнести измерение длины линейкой, времени секундомером, объема цилиндром и так далее.
1. Измерим n раз некоторую величину X при одинаковых условиях. В результате получим набор значений X1, X2, X3,...,Xn.
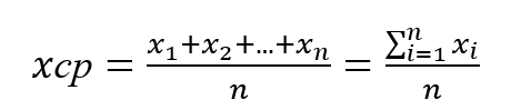
2. Далее

В статье представлен метод расчета случайной погрешности прямого измерения. К прямым измерениям относят нахождение величины из опытных данных с помощью прибора. К прямым измерениям можно отнести измерение длины линейкой, времени секундомером, объема цилиндром и так далее.

1. Измерим n раз некоторую величину X при одинаковых условиях. В результате получим набор значений X1, X2, X3,...,Xn.

2. Далее вычислим среднее арифметическое значение величины X по формуле:

Для увеличения точности измерений необходимо увеличить количество измерений. При многократном увеличении числа измерений среднее арифметическое значение измеряемой величины будет стремиться к её истинному значению. То есть следует учитывать, что при конечном числе они будут равны друг другу лишь приближенно. Поэтому необходимо определять степень этого приближения, чтобы данное количество было достаточным для оценки результата.

3. Найдем среднее квадратичное отклонение среднего арифметического:

-2

При этом значение случайной погрешности в случае небольшого числа измерений можно представить в виде

-3

где t - это коэффициент Стьюдента, зависящий от доверительной вероятности и числа измерений . Значения коэффициента Стьюдента для доверительной вероятности приведены в таблице.

Таблица 1

Значения коэффициента Стьюдента.

-4