Найти в Дзене
200 фишек про учебу

Одно простое правило позволяет избежать половины ошибок на экзамене по физике

"Ух ты, физика!". Часть 4. Размерности величин. Или чем физика отличается от математики. Важное замечание! В дальнейшем изложении я буду стараться не повторять содержание школьных учебников физики. Более того, предполагается, что содержание школьного учебника в достаточной степени известно читателю. Дальнейшее изложение будет направлено на то, чтобы облегчить интуитивное понимание физических законов, показать красоту и лаконичность векторных формул, а главное, упростить решение задач. Правильные определения, с точки зрения сдачи теоретической части школьной программы, определения следует брать из школьного учебника! Для более глубокого понимания физики лучше обратиться к Фейнмановским лекциям по физике. Для простого решения задач, можно ограничиться двумя первыми томами, приняв «на веру» изложенную в них теорию и уделив главное внимание практическому разбору решения задач. Итак,как ответить на вопрос "чем физика отличается от математики коротко, просто и с практической пользой
Оглавление

"Ух ты, физика!". Часть 4.

Размерности - ключ к исключению случайных ошибок в решениях физических задач
Размерности - ключ к исключению случайных ошибок в решениях физических задач

Размерности величин. Или чем физика отличается от математики.

Важное замечание! В дальнейшем изложении я буду стараться не повторять содержание школьных учебников физики. Более того, предполагается, что содержание школьного учебника в достаточной степени известно читателю.

Дальнейшее изложение будет направлено на то, чтобы облегчить интуитивное понимание физических законов, показать красоту и лаконичность векторных формул, а главное, упростить решение задач.

Правильные определения, с точки зрения сдачи теоретической части школьной программы, определения следует брать из школьного учебника!

Для более глубокого понимания физики лучше обратиться к Фейнмановским лекциям по физике. Для простого решения задач, можно ограничиться двумя первыми томами, приняв «на веру» изложенную в них теорию и уделив главное внимание практическому разбору решения задач.

Итак,как ответить на вопрос "чем физика отличается от математики коротко, просто и с практической пользой для решения задач по физике?

Очень легко! Физика отличается от математики размерностями. Да, да! Именно размерностями.

Математики занимаются построением математических теорий. Они придумывают сложные функции, находят решения систем уравнений. И совершенно, при этом, не задумываются над вопросом, а можно ли складывать или сравнивать между собой значения тех или иных величин и выражений. Можно сказать, упрощенно, что они работают просто с числами.

Физики всегда работают с физическими величинами. Эти величины имеют не только значение, но и размерность.

При решении физических задач очень важно знать, что у нас получилось - килограммы, метры, секунды…

И еще много-много других важных характеристик придумано для описания процессов, происходящих в физическом мире. И у каждой характеристики, кроме численного значения, всегда есть наименование, которое называется «размерность».

ФИШКА 11.

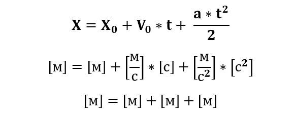
Перед началом численных вычислений всегда проверяйте составленные вами формулы для решения физических задач на размерности!

Складывать и сравнивать можно только величины с одинаковой размерностью!

Это главный закон физики. Наверняка вы всегда знали этот закон.

Все слагаемые (и вычитаемые) в обеих половинах формулы должны иметь одинаковую размерность! Без исключений!
Все слагаемые (и вычитаемые) в обеих половинах формулы должны иметь одинаковую размерность! Без исключений!

Размерности величин. Таблица размерностей.

Итак, про размерности. Они делятся на основные и производные.

Основные - это метр (м), секунда (с), килограмм (кг), ампер (A), кельвин (К) (это градус температуры, и он не совсем основная величина. но для нас сейчас это не важно и за подробностями «милости просим», например, в Википедию). Есть еще шестая основная величина Кандела (Кд) - единица освещенности. И седьмая - количество вещества МОЛЬ.

Оговоримся, раньше официально в качестве основной единицы использовался Кулон (Кл), а не Ампер (А). Теперь же Кулон получается из Ампера, который определяется непосредственно по силе взаимодействия двух определенных проводников с током именно, как сила взаимодействия (притяжения или отталкивания) проводников с током.

Сила тока - Ампер
Сила тока - Ампер

Все очень логично – сила тока 1 Ампер есть такой ток (т.е. количество переносимого в единицу времени (с) заряда (Кл) в проводниках), который вызывает силу взаимодействия величиной 1 Ньютон между двумя проводниками с током длиной в 1 метр каждый, которые находятся на расстоянии 1 метр.

Видите, как все взаимосвязано!

Считается, что основные величины размерностей – это некие эталонные величины, которые мы находим экспериментально. Причем в этих экспериментах каждый раз получаются одинаковые значения физических величин при одинаковых условиях измерений.

Например, метр – это, по сути, металлический стержень, который хранится во Франции в специальном институте («Международное бюро мер и весов» — постоянно действующая организация со штаб-квартирой, расположенной в городе Севр недалеко от Парижа) при определенной температуре (и других постоянных условиях), с которым мы должны сравнивать и измерять все остальные "метры".

Секунда, это примерно (1 / 86400) одна восьмидесятишеститысяччетырехсотая средних астрономических суток. И к тому же эти сутки меняются со временем, правда очень медленно. Но зато у нас есть всемирная служба точного времени, которая сообщает нам, когда заканчивается один час и начинается другой.

Метр, что интересно, — это и единица коэффициента трения качения, и единица длины волны излучения, и длины свободного пробега, и оптической длины пути, и фокусного расстояния, и комптоновской длины волны, и длины волны де Бройля и многих других физических величин, имеющих размерность длины.

По определению, метр равен расстоянию, которое проходит свет в вакууме за промежуток времени, равный 1 / 299 792 458 секунды. Такое определение метра (в терминах времени и скорости света) было принято на XVII Генеральной конференции по мерам и весам в 1983 году.

С практической точки зрения, для решения физических задач, эти подробности не слишком важны.

Важно, что каждой физической величине соответствует своя размерность. И что эти величины с размерностями можно складывать или вычитать, только если они одинаковые.

Но их можно также умножать и делить. И при этом образуются новые физические величины (новые размерности).

Сейчас мы с вами займемся конструированием физических величин.

Возьмем метр и разделим его на секунду - получится м/с - скорость.

Возьмем метр и умножим его на метр - получим м2 - площадь.

Возьмем м2 и умножим его снова на метр - получим м3 - объем.

Дальше можете продолжить сами!

Берем кг и умножаем его на кг - получаем кг2 - квадратный килограмм!!! Круто!

Вопрос: Может быть квадратный килограмм?

Ответ: Может. Но только физического смысла в этом нет никакого.

Ниже приведена таблица размерностей с названиями физических величин.

Таблица размерностей физических величин

-4

Задание: Достройте таблицу размерностей для всех физических величин, которые упоминаются в школьных учебниках физики. Рассмотрите ее внимательно, исследуйте и опишите имеющиеся закономерности.

В дальнейшем при подготовке к экзамену держите эту таблицу под рукой. Примерно за неделю - полторы активного решения задач вы будете ее помнить ее наизусть.