Добавить в корзинуПозвонить
Найти в Дзене
Широков Александр

Школьные задачи / Способы решения от читателей / А-112

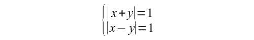
В задании А-112 предлагалось решить систему уравнений: Вскоре после опубликования разбора этой задачи на Дзене появились два комментария от пользователя «елена арутюнян»: В них предлагаются более быстрые подходы к нахождению решений системы, отличные от разобранного выше пошагового рассмотрения случаев с разными знаками подмодульных выражений. В первом варианте рассуждения строятся следующим образом. В обеих уравнениях системы их правые части равны единице, из чего вытекает равенство |x + y| = |x – y| Как справедливо отмечено в комментарии, равенство модулей двух чисел (x + y и x – y) означает, что сами числа или равны, или противоположны. Далее остаётся рассмотреть эти случаи, получив в каждом из них по два решения системы. Ниже приводится такой ход решения, записанный в виде последовательности равносильных преобразований: Другой вариант решения основывается на том факте, что уравнение вида |t| = a при a > 0 имеет два корня: t = a или t = –a, благодаря чему исходная система в итоге р

В задании А-112 предлагалось решить систему уравнений:

Вскоре после опубликования разбора этой задачи на Дзене появились два комментария от пользователя «елена арутюнян»:

-2

В них предлагаются более быстрые подходы к нахождению решений системы, отличные от разобранного выше пошагового рассмотрения случаев с разными знаками подмодульных выражений.

В первом варианте рассуждения строятся следующим образом. В обеих уравнениях системы их правые части равны единице, из чего вытекает равенство

|x + y| = |xy|

Как справедливо отмечено в комментарии, равенство модулей двух чисел (x + y и x y) означает, что сами числа или равны, или противоположны. Далее остаётся рассмотреть эти случаи, получив в каждом из них по два решения системы. Ниже приводится такой ход решения, записанный в виде последовательности равносильных преобразований:

-3

Другой вариант решения основывается на том факте, что уравнение вида

|t| = a

при a > 0 имеет два корня: t = a или t = –a, благодаря чему исходная система в итоге разбивается на четыре:

-4

Рассмотрев каждую из них по отдельности, также можно получить решения (1; 0), (0; 1), (0; –1) и (–1; 0).

Другие задания, имеющиеся на канале, можно найти здесь:

Школьные задачи | Широков Александр | Дзен

-5

Перечень публикаций на канале
Широков Александр2 декабря 2020

-6

12 апреля 1961 года благодаря научно-техническому прогрессу, базирующемуся на материалистических принципах, впервые в истории всего человечества советский космонавт Юрий Алексеевич Гагарин на космическом корабле «Восток-1» совершил орбитальный полёт вокруг планеты Земля.

С днём космонавтики! С праздником, товарищи! Ура!

По такому замечательному поводу могу предложить составленную на свой собственный вкус подборку музыкальных композиций, так или иначе связанных с космической тематикой. Отыскать указанные ниже песни в Сети для онлайн-прослушивания не составляет большого труда. В этом году список пополнила композиция «Где сходятся миры» из одноимённого альбома пауэр-метал-группы Эпидемия:

01. Трава у дома (кавер-версия) / Приключения Электроников

02. Земное притяжение / Комплексные числа

03. Неизбежность / Комплексные числа

04. Над Замлёю алеет закат / Комплексные числа

05. Домой / CosmoCats

06. Космос / Элизиум

07. Ослепительный мир / Элизиум

08. Звездная колыбельная / Элизиум

09. Обратная Сторона Луны / Элизиум

10. На Марс / Элизиум

11. Лунные моря / Элизиум

12. Планета Земля / Элизиум

13. Космонавты / Ляпис Трубецкой

14. Космонавт / Люмен

15. Алиса / Ростислав Чебыкин

16. Где сходятся миры / Эпидемия

-7

-8