Добавить в корзинуПозвонить
Найти в Дзене
Широков Александр

Школьные задачи / Алгебра / А-116

Решите систему уравнений: Проведём с системой равносильные преобразования: При переходе (1) используется тот факт, что уравнение |t| = a (при a > 0) имеет два решения: t = a или t = –a. Переход (2) от системы из двух объединений к объединению из четырёх систем получается из следующих соображений. Символ системы – фигурная скобка – обозначает требование одновременного выполнения нескольких условий и по смыслу соответствует логическому умножению, а символ объединения (квадратная скобка) означает необходимость выполнения хотя бы одного из требований и соответствует логическому сложению (см. заметку «О равносильных преобразованиях (для школьников)»). Присвоив каждому выражению буквенное обозначение: и заменив логические умножение и сложение на «обычные», можно рассматриваемую систему объединений формально представить в виде: (A + B)·(C + D) Данное описание также формально можно преобразовать как обычное алгебраическое: (A + B)·(C + D) = A·C + A·D + B·C + B·D , а затем вернуться к прежней
Оглавление

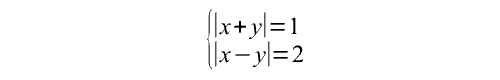
Задание

Решите систему уравнений:

Решение

Проведём с системой равносильные преобразования:

-2

При переходе (1) используется тот факт, что уравнение |t| = a (при a > 0) имеет два решения: t = a или t = –a.

Переход (2) от системы из двух объединений к объединению из четырёх систем получается из следующих соображений. Символ системы – фигурная скобка – обозначает требование одновременного выполнения нескольких условий и по смыслу соответствует логическому умножению, а символ объединения (квадратная скобка) означает необходимость выполнения хотя бы одного из требований и соответствует логическому сложению (см. заметку «О равносильных преобразованиях (для школьников)»). Присвоив каждому выражению буквенное обозначение:

-3

и заменив логические умножение и сложение на «обычные», можно рассматриваемую систему объединений формально представить в виде:

(A + B)·(C + D)

Данное описание также формально можно преобразовать как обычное алгебраическое:

(A + B)·(C + D) = A·C + A·D + B·C + B·D ,

а затем вернуться к прежней форме записи с фигурными и квадратными скобками.

После перехода (3) производится решение каждой из четырёх систем: переменная y выражена из первого уравнения соответствующей системы, а ко второму уравнению прибавлено первое (проведено исключение y из выражения второго уравнения). В итоге после перехода (4) мы получаем четыре решения исходной системы, приведённой в условии задачи.

Ответ

(1,5; –0,5), (–0,5; 1,5), (0,5; –1,5), (–1,5; 0,5)

Комментарий

Рассмотрим графический способ решения системы.

Построение графика первого уравнения |x + y| = 1 рассмотрено в задании А-111. График второго представляет собой совокупность двух прямых параллельных линий:

-4

Решения системы есть точки пересечения графиков её уравнений. Эти точки имеют координаты (1,5; –0,5), (–0,5; 1,5), (0,5; –1,5), (–1,5; 0,5) и располагаются в вершинах прямоугольника:

-5

Другие задания, имеющиеся на канале, можно найти здесь:

Школьные задачи | Широков Александр | Дзен

-6

Перечень публикаций на канале
Широков Александр2 декабря 2020

Сведения о новых статьях блога можно найти в Telegram-канале Shuric_Himik