Добавить в корзинуПозвонить
Найти в Дзене

✨Тренируем вычислительные навыки всей семьей

✨ ✨ ОГЭ по математике (самостоятельная подготовка) ✨ Если вдруг на каникулах захотелось математики 💚, то можно сыграть в математическую игру 💚, а можно решать всей семьей вычислительный пример: 🎄 на скорость 🍭 по кругу по действиям (каждый по очереди решает одно действие и передает эстафету следующему) 🍊 парами (два человека решают первое действие, если ответы совпали, то приступают ко второму и т.д., а если не совпали, то зовут третьего, чтобы он решил или сами перерешивают по второму разу) 😌😍🥲🙂🥹😍 6️⃣ Первая дробь: 27,5 Вторая дробь: 2/3 Ответ всего примера: 1 ⬇️⬇️⬇️Ответы по действиям в комментариях⬇️⬇️⬇️ ⭐️⭐️⭐️⭐️⭐️⭐️⭐️⭐️⭐️⭐️ ⚫️Первый пример и методика тренировки ЗДЕСЬ ⚫️Второй пример ЗДЕСЬ ⚫️Третий пример ЗДЕСЬ ⚫️Четвертый пример ЗДЕСЬ ⚫️Пятый пример ЗДЕСЬ

✨Тренируем вычислительные навыки всей семьей✨

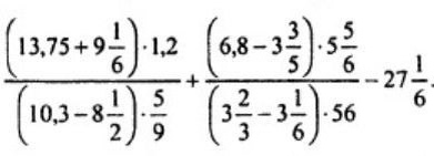
✨ ОГЭ по математике (самостоятельная подготовка) ✨

Если вдруг на каникулах захотелось математики 💚, то можно сыграть в математическую игру 💚, а можно решать всей семьей вычислительный пример:

🎄 на скорость

🍭 по кругу по действиям (каждый по очереди решает одно действие и передает эстафету следующему)

🍊 парами (два человека решают первое действие, если ответы совпали, то приступают ко второму и т.д., а если не совпали, то зовут третьего, чтобы он решил или сами перерешивают по второму разу)

😌😍🥲🙂🥹😍 6️⃣

Первая дробь: 27,5

Вторая дробь: 2/3

Ответ всего примера: 1

⬇️⬇️⬇️Ответы по действиям в комментариях⬇️⬇️⬇️

⭐️⭐️⭐️⭐️⭐️⭐️⭐️⭐️⭐️⭐️

⚫️Первый пример и методика тренировки ЗДЕСЬ

⚫️Второй пример ЗДЕСЬ

⚫️Третий пример ЗДЕСЬ

⚫️Четвертый пример ЗДЕСЬ

⚫️Пятый пример ЗДЕСЬ