Найти в Дзене

✨Тренируем вычислительные навыки всей семьей

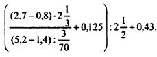
✨Тренируем вычислительные навыки всей семьей✨ ✨ ОГЭ по математике (самостоятельная подготовка) ✨ 😌😍🥲🙂🥹😍 4️⃣ Ответ в скобке: 0,175 Ответ всего примера: 0,5 ⬇️⬇️⬇️Ответы по действиям в комментариях ⬇️⬇️⬇️ ⭐️⭐️⭐️⭐️⭐️⭐️⭐️⭐️⭐️⭐️ ⚫️Первый пример и методика тренировки ЗДЕСЬ ⚫️Второй пример ЗДЕСЬ ⚫️Третий пример ЗДЕСЬ

✨Тренируем вычислительные навыки всей семьей✨

✨ ОГЭ по математике (самостоятельная подготовка) ✨

😌😍🥲🙂🥹😍 4️⃣

Ответ в скобке: 0,175

Ответ всего примера: 0,5

⬇️⬇️⬇️Ответы по действиям в комментариях ⬇️⬇️⬇️

⭐️⭐️⭐️⭐️⭐️⭐️⭐️⭐️⭐️⭐️

⚫️Первый пример и методика тренировки ЗДЕСЬ

⚫️Второй пример ЗДЕСЬ

⚫️Третий пример ЗДЕСЬ