Добавить в корзинуПозвонить
Найти в Дзене

✨Тренируем вычислительные навыки всей семьей

✨ ✨ ОГЭ по математике (самостоятельная подготовка) ✨ 😌😍🥲🙂🥹😍 5️⃣ Первая дробь: 5 Вторая дробь: 2 Ответ всего примера: 5 ⬇️⬇️⬇️Ответы по действиям в комментариях ⬇️⬇️⬇️ ⭐️⭐️⭐️⭐️⭐️⭐️⭐️⭐️⭐️⭐️ ⚫️Первый пример и методика тренировки ЗДЕСЬ ⚫️Второй пример ЗДЕСЬ ⚫️Третий пример ЗДЕСЬ ⚫️Четвертый пример ЗДЕСЬ

✨Тренируем вычислительные навыки всей семьей✨

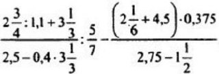
✨ ОГЭ по математике (самостоятельная подготовка) ✨

😌😍🥲🙂🥹😍 5️⃣

Первая дробь: 5

Вторая дробь: 2

Ответ всего примера: 5

⬇️⬇️⬇️Ответы по действиям в комментариях ⬇️⬇️⬇️

⭐️⭐️⭐️⭐️⭐️⭐️⭐️⭐️⭐️⭐️

⚫️Первый пример и методика тренировки ЗДЕСЬ

⚫️Второй пример ЗДЕСЬ

⚫️Третий пример ЗДЕСЬ

⚫️Четвертый пример ЗДЕСЬ