Добавить в корзинуПозвонить
Найти в Дзене

✨Тренируем вычислительные навыки всей семьей

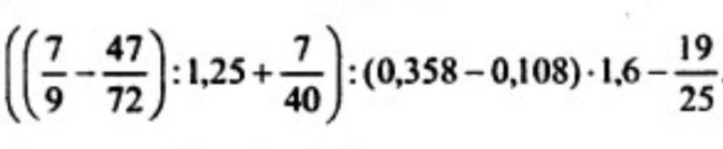
✨Тренируем вычислительные навыки всей семьей✨ ✨ ОГЭ по математике (самостоятельная подготовка) ✨ 😌😍🥲🙂🥹😍 2️⃣ Если скобки в скобах, то сначала вычисляем внутренние скобки, а потом внешние. Ответ в первой большой скобке: 11/40 Ответ всего примера: 1 ⬇️⬇️⬇️Ответы по действиям в комментариях ⬇️⬇️⬇️ ⭐️⭐️⭐️⭐️⭐️⭐️⭐️⭐️⭐️⭐️ Первый пример и методика тренировки ЗДЕСЬ

✨Тренируем вычислительные навыки всей семьей✨

✨ ОГЭ по математике (самостоятельная подготовка) ✨

😌😍🥲🙂🥹😍 2️⃣

Если скобки в скобах, то сначала вычисляем внутренние скобки, а потом внешние.

Ответ в первой большой скобке: 11/40

Ответ всего примера: 1

⬇️⬇️⬇️Ответы по действиям в комментариях ⬇️⬇️⬇️

⭐️⭐️⭐️⭐️⭐️⭐️⭐️⭐️⭐️⭐️

Первый пример и методика тренировки ЗДЕСЬ