Добавить в корзинуПозвонить
Найти в Дзене
Широков Александр

Школьные задачи / Алгебра / А-109

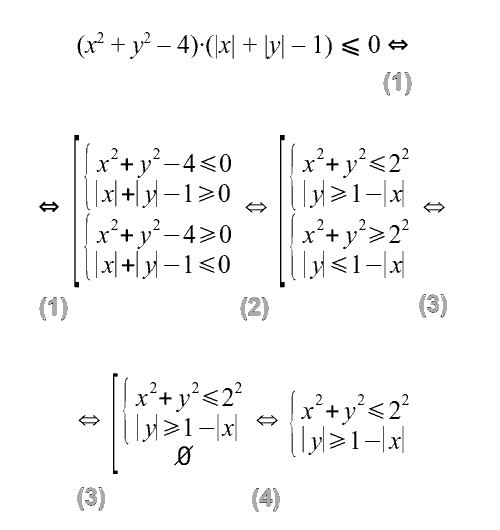
Изобразите на плоскости множество точек, координаты которых соответствуют требованию: (x² + y² – 4)·(|x| + |y| – 1) ⩽ 0 Для решения задачи необходимо провести с исходным неравенством серию равносильных преобразований, которая может быть записана так: Переход (1) обусловлен тем, что исходное неравенство представляет собой произведение двух множителей, меньшее или равное нулю, а такое возможно, когда множители (x² + y² – 4) и (|x| + |y| – 1) имеют разные знаки, отсюда и возникает запись в виде объединения двух систем неравенств. Переход (2) демонстрирует преобразование математических выражений к виду, удобному для дальнейшего изображения на плоскости соответствующих множеств точек. Как можно заметить, это будет напрямую связано с графиками уравнений x²+ y² = 2² и |y| = 1 – |x| Первое из них описывает окружность радиусом 2 с центром в начале координат. Для понимания вида графика второго уравнения нужно построить график функции y = 1 – |x| Он представляет собой график y = |x|, повёрнуты
Оглавление

Задание

Изобразите на плоскости множество точек, координаты которых соответствуют требованию:

(x² + y² – 4)·(|x| + |y| – 1) ⩽ 0

Решение

Для решения задачи необходимо провести с исходным неравенством серию равносильных преобразований, которая может быть записана так:

Переход (1) обусловлен тем, что исходное неравенство представляет собой произведение двух множителей, меньшее или равное нулю, а такое возможно, когда множители (x² + y² – 4) и (|x| + |y| – 1) имеют разные знаки, отсюда и возникает запись в виде объединения двух систем неравенств.

Переход (2) демонстрирует преобразование математических выражений к виду, удобному для дальнейшего изображения на плоскости соответствующих множеств точек. Как можно заметить, это будет напрямую связано с графиками уравнений

x²+ y² = 2² и |y| = 1 – |x|

Первое из них описывает окружность радиусом 2 с центром в начале координат. Для понимания вида графика второго уравнения нужно построить график функции

y = 1 – |x|

Он представляет собой график y = |x|, повёрнутый на 180° вокруг оси абсцисс и смещённый на единицу в сторону положительных значений оси ординат (рис. 1).

Рис. 1.
Рис. 1.

Отсюда следует, что график уравнения |y| = 1 – |x| (или равносильного ему |x| + |y| = 1) есть линия, состоящая из расположенной в верхней полуплоскости части графика y = 1 – |x| и её «зеркального отражения» относительно оси абсцисс, располагающейся в нижней полуплоскости (рис. 2; см. также комментарий к заданию А-25).

Рис. 2.
Рис. 2.

Таким образом, уравнение |y| = 1 – |x| описывает ромб (если более точно – квадрат), с диагоналями, равными 2.

Рассмотрим теперь вторую систему неравенств в объединении после перехода (2):

-4

Первое неравенство этой системы описывает точки плоскости, лежащие вне круга, ограничиваемого окружностью x² + y² = 2². Второму неравенству удовлетворяют точки, расположенные внутри области, ограничиваемой графиком уравнения |y| = 1 – |x| (см. комментарий к заданию А-27). Знак системы подразумевает такие точки, координаты которых одновременно удовлетворяют обеим неравенствам, но из рис. 3 видно, что таких точек попросту нет (закрашенные синим и жёлтым области не пересекаются), то есть рассматриваемая система не имеет решений – равносильна пустому множеству, что и отражено после перехода (3).

Рис. 3.
Рис. 3.

Пустое множество можно исключить из записи объединения (переход (4) ) – в итоге исходное неравенство оказывается равносильным системе:

-6

Первому её неравенству удовлетворяют точки круга, ограничиваемого окружностью x² + y² = 2², а второму соответствует область, расположенная за пределами ромба |x| + |y| = 1. Точки, отвечающие требованиям обеих неравенств (а равно и исходному неравенству в условии задачи), образуют фигуру в виде круга с «вырезанным» в нём ромбовидным (квадратным) «отверстием» – рис. 4.

Рис. 4.
Рис. 4.

Ответ

-8

Другие задания, имеющиеся на канале, можно найти здесь:

Школьные задачи | Широков Александр | Дзен

-9

Перечень публикаций на канале
Широков Александр2 декабря 2020

Сведения о новых статьях блога можно найти в Telegram-канале Shuric_Himik