Найти в Дзене
Navygaming Channel

Ракеты над морем или "стратеги" в водах Балтики и не только /2/ Аспекты развития подводных сил ДКБФ в пос­левоенный период

Вспомним отдельные моменты использования подводных сил советского Балтийского флота в послевоенный период, как мне кажется, незаслуженно забытый. В данном случае - речь о Балтике и балтийском подплаве. Окончание, начало ЗДЕСЬ Итак, в начале 60-х годов, подводные силы Балтийского флота получили ракетное оружие. В 1964 году в 40-ю бригаду подводных лодок (БрПЛ) прибыла С-142 проекта 665 (командир - капитан 2 ранга Г.А.Верховцев). Она стала первой на БФ ракетной подводной лодкой. Нали­чие на борту С-142 четырех крыла­тых ракет П-5 позволяла уничто­жать береговые объекты на дально­сти стрельбы до 500 км. Несколько позже на БФ прибыли еще три ПЛ этого проекта: С-152 (капитан 2 ран­га О.А.Тимофеев); С-155 (капитан 2 ранлаЛ.О.Демеш) и С-164 (капитан 2 ранга А.И.Изюмов). Последняя, правда, вскоре перешла на Черноморский флот. Лодки проекта 665 были созданы на основе ДЭПЛ проекта 613, имевшей сравнительно небольшие размеры. Чтобы избежать серьёзных переделок корпуса и уложиться в заданные габар
Вспомним отдельные моменты использования подводных сил советского Балтийского флота в послевоенный период, как мне кажется, незаслуженно забытый. В данном случае - речь о Балтике и балтийском подплаве.

Окончание, начало ЗДЕСЬ

Итак, в начале 60-х годов, подводные силы Балтийского флота получили ракетное оружие. В 1964 году в 40-ю бригаду подводных лодок (БрПЛ) прибыла С-142 проекта 665 (командир - капитан 2 ранга Г.А.Верховцев). Она стала первой на БФ ракетной подводной лодкой. Нали­чие на борту С-142 четырех крыла­тых ракет П-5 позволяла уничто­жать береговые объекты на дально­сти стрельбы до 500 км. Несколько позже на БФ прибыли еще три ПЛ этого проекта: С-152 (капитан 2 ран­га О.А.Тимофеев); С-155 (капитан 2 ранлаЛ.О.Демеш) и С-164 (капитан 2 ранга А.И.Изюмов). Последняя, правда, вскоре перешла на Черноморский флот.

Лодки проекта 665 были созданы на основе ДЭПЛ проекта 613, имевшей сравнительно небольшие размеры. Чтобы избежать серьёзных переделок корпуса и уложиться в заданные габариты ракетные контейнеры установили в ограждении рубки, под углом старта ракет (15°). Ограждение при этом значительно возросло по длине и ширине, но такая необычная компоновка позволила разместить 4 крупногабаритных контейнера на лодке. Кроме этого в прочный корпус был врезан дополнительный отсек, установлена дополнительная группа аккумуляторных батарей. Были полностью демонтированы кормовые ТА и пришлось отказаться от всех запасных торпед. При этом водоизмещение возросло в 1.4 раза по сравнению с исходной подводной лодкой пр.613. Дальность подводного плавания возросла до 400
миль, а дальность плавания в режиме РДП до 8500 миль, автономность
составила 45 суток - показатели подходящие для Балтики.

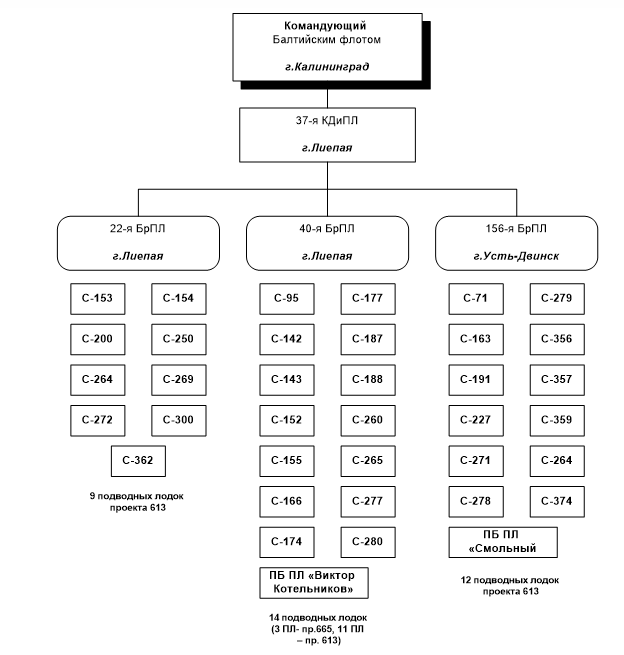
Структура командования 37-й КДиПЛ БФ на 1964 год
Структура командования 37-й КДиПЛ БФ на 1964 год
Для справки: водоизмещение (надводное/подводное) - 1490/1660 т.; рамзерения: 85х6,7х4,8 м; запас плавучести - 30%; глубина погружения рабочая/предельная – 200/230 м; скорость полная надводная/подводная полная – 14,5 /11 узл.; скорость подводная в режиме РДП – 8 узл.; дальность плавания с РДП – 8500 (6) миль, дальность плавания подводная – 11 (11) миль или 400(2) миль; экипаж – 58 чел.; автономность – 45 сут. Вооружение: 4 крылатых ракет П-5 в стационарных ракетных контейнерах и 4-х носовых 533мм ТА, 4 торпеды.

Командование и штаб 40-й БрПЛ, в состав которой вошли три ракет­ные ПЛ, незамедлительно присту­пили к их освоению. Планами пре­дусматривалось: изучение ракетно­го комплекса личным составом ПЛ и офицерами штаба, отработка орга­низации погрузки (выгрузки) ракет на лодки, корректура боевых и по­вседневных расписаний, отработка и сдача курсовых задач. Для экипа­жей ракетных подводных лодок создавались учеб­ные кабинеты, и в первую очередь ракетный и штурманский.

Подводная лодка С-142 в парадном строю на Неве в честь Дня ВМФ, возможно 1967 год
Подводная лодка С-142 в парадном строю на Неве в честь Дня ВМФ, возможно 1967 год

В связи с тем, что на БФ отсут­ствовал полигон для выполнения ра­кетных стрельб с фактическим пус­ком, и создать его в условиях Балтий­ского театра было вообще невоз­можно, были отработаны до­кументы по организации ракетных стрельб на других флотах (ЧФ, ТОФ), где такие полигоны уже име­лись. Организационно это выгляде­ло следующим образом: тщательная подготовка корабельного боевого расчета во главе с командиром подводной лодки (со сдачей зачетов на допуск к вы­полнению стрельб) - вылет ракетных расчетов для выполнения стрельбы на другой флот - проведение стрельб - возвращение в Лиепаю (БФ). Руководителем стрельбы, как правило, назначался командир 40-й БрПЛ. Интересно, что в состав ракетных расчетов подводных лодок (в количестве 15 человек) обязательно включался представитель штаба БФ (старший офицер отдела). Обычно им был опытный офицер-подводник, участник Великой Оте­чественной войны, капитан 1 ранга И.В.Пархоменко. Такую "систему" сейчас сложно назвать оптимальной - но на тот момент это было единственным "рабочим" вариантом.

Подводная лодка проекта 665 в Ленинграде
Подводная лодка проекта 665 в Ленинграде

Конечно, первые ракетные подводные лодки пр. 665 имели недостатки. Они зак­лючались прежде всего в том, что старт ракет мог осуществляться только из надводного положения. В этих условиях не приходится гово­рить о высокой боевой устойчивос­ти подводных лодок проекта 665 без надежного при­крытия другими силами флота. Учи­тывая это, штабом 40-й БрПЛ были разработаны меры по повышению боевой устойчивости лодок.

Исходя из дальности стрельбы комплекса, были определены райо­ны, в которых ракетные подводные лодки хорошо прикрывались силами и средствами флота. С развертыванием в такой район, ракетная подводная лодка осуществляла покладку на грунт на курсе, близком к боевому курсу стрельбы, и уста­навливала связь с обеспечивающим надводным кораблем или берего­вым постом. Таким образом, штаб флота имел постоянную связь с ракетной ПЛ и в короткие сроки мог передавать необходимые приказа­ния. Всплывшая для стрельбы в над­водное положение ракетная ПЛ на­дежно прикрывалась выделенными силами и средствами флота.

Для заметок: примерно такой же режим боевого дежурства вскоре будет принят и для ДЭПЛ проекта 629А, правда без всплытия для залпа.

Трудно переоценить значение поступивших на Балтийский флот в середине 1960-х годов ракетных подводных лодок проекта 665 (при всех их недостатков и небольшом количестве - всего было переоборудовано 6 единиц)). Они существенно увеличили боевые воз­можности флота по уничтожению группировок противника не только на море, но также и объектов на бе­регу.

В начале 1980-х годов, в связи с исте­чением сроков службы ракет П-5, снятием их с производства, первен­цы ракетных подводных лодок проекта 665 на БФ С-142, С-152 и С-155 еще некоторое время продолжали служить флоту как лод­ки обеспечения. В середине 1980-х годов они были выведены из состава фло­та и переданы в отдел фондового иму­щества для последующей разделки на металлолом.

Три лодки проекта 665 (С-142, С-152, С-155) в Оленьей губе
Три лодки проекта 665 (С-142, С-152, С-155) в Оленьей губе

Вскоре, в интересах военной и ядерной безопасности в Балтийском регио­не (такая была официальная версия и обоснование решения), подводные силы БФ были существенно реформированы. В сентябре 1976 года из губы Оленьей начали переход на БФ две ракетные подводные лодки пр.629А из 16-й ДиПЛ СФ (Б-142, Б-96). Переходом руководил командир 16-й ДиПЛ капитан 1 ранга Р.А.Анохин, лодки шли вокруг Скандинавии. Для встречи новых лодок командующий БФ вице-адмирал А.М.Косов к мысу Скаген отправил командира 37-й КДиПЛ контр-адмирала Н.Е.Хромова. Встреча прошла успешно, 23 сентября 1976 года, с постановкой ПЛ на якорь Н.Е.Хромов с группой офицеров перешел с ТЩ на Б-142 (капитан 1 ранга О.В.Майо­ров) и после небольшого инструктажа (совещания) лодки продолжили движение. Примерно через сутки Б-142 и Б-96 командир – капитан 1 ранга В.А.Денисенков) подошли к Лиепае, где была устроена торжественная встреча (с поросёнком!),).

Подводная лодка Б-142 швартуется в Лиепае
Подводная лодка Б-142 швартуется в Лиепае

В октябре и ноябре 1976 года на Балтийский флот с СФ прибыли еще четыре ПЛ проекта 629А: Б-79 (капитан 2 ранга М.Г.Коростышевский), Б-23 (капитан 1 ранга В.А.Кузнецов), Б-183 (капитан 2 ранга В.К.Лыков), Б-372 (капитан 2 ранга В.В.Закржевский). Прибытие новых лодок не могло не отразиться на организационно-штатной структуре соединений. В ноябре 1976 года в соответствии с директивой ГШ ВМФ, 37-я КДиПЛ была преобразована в 14-ю эскадру подводных лодок (14-я ЭскПЛ) БФ, в состав которой вошли 16-я дивизия ПЛ (ДиПЛ), 22-я, 40-я т 157-я БрПЛ.

Создание ДЭПЛ проекта 629А стало важным событием в истории развития подводных сил советского ВМФ, в первую очередь потому, что это были первые подводные лодки с подводным стартом ракет. Самый серьезный недостаток ракетных подводных лодок предыдущих проектов - выполнение стрельбы только из надводного положения был устранен. Подводные лодки получили возможность скрытно наносить мощные удары по береговым объектам противника.

В последующем в 16-ю ДиПЛ с СФ прибыли три подводные лодки проекта 651: Б-24 (капитан 3 ранга В.А.Чулков), Б-81 (капитан 2 ранга В.П.Зайцев) и Б-124 (капитан 1 ранга В.Л.Шерин). На этих ПЛ был установлен ракетный комплекс П-6, предназначенный для стрельбы по крупным группи­ровкам боевых кораблей и транс­портов в составе отрядов боевых кораблей и конвоев, а также для нанесения ударов по береговым объектам.

Подводная лодка Б-24 в Пенемюнде как корабль -музей
Подводная лодка Б-24 в Пенемюнде как корабль -музей

Подводные лодки проекта 651 по срав­нению с ПЛ пр.665, безусловно, об­ладали значительно более высокими боевыми возможностями. Большие глубины погружения и способность развить скорость под водой до 14 уз, мощное противолодочное оружие, возможность надежного прикрытия ПЛ при стрельбе ракетами в услови­ях Балтийского морского театра по­зволяли эффективно решать свой­ственные этому проекту боевые задачи. Кроме того, на ПЛ пр.651 кон­структорами были созданы хорошие бытовые условия для экипажа - на ПЛ имелась система кондициониро­вания, весь личный состав ПЛ обес­печен спальными местами.

Таким образом, поступившие на БФ ПЛ пр.629А и ПЛ пр.651 представляли новый, более высокий уровень развития подводных сил флота в послевоенный период.

Подводная лодка К-85, в будущем - Б-124 проекта 651
Подводная лодка К-85, в будущем - Б-124 проекта 651

В итоге на конец 1976 года, в 140-ю ЭскПЛ входили: 16-я ДиПЛ в составе 9 ракетных подводных лодок (в разные годы в составе соединения были подводные лодки проекта 629А – 6; проекта 651 – 3; проекта 665 – 3); 22-я и 40-я БрПЛ – по 8 торпедных подводных лодок проекта 613 с базировани­ем в Лиепае, а также 157-я БрПЛ в составе 14 подводных лодок проекта 613 с базировани­ем в Палдиски. Такой состав позво­лял эскадре ПЛ как оперативно-так­тическому объединению самостоя­тельно и во взаимодействии с други­ми силами флота наносить мощные ракетно-торпедные удары по отря­дам боевых кораблей, конвоям и важным береговым объектам про­тивника. Для подготовки подводных сил флота к выполнению задач по пред­назначению была организована большая работа в которую включились и штабы эскадры, и экипажи подводных лодок.

Для обеспечения безопасности плавания подводных лодок проекта 629 и 651, имеющих большую осадку, были проведены большие по объему дноуглубительные работы на входном фар­ватере и в аванпорту Лиепая. Каж­дый вход (выход) ПЛ обеспечивал­ся системой мероприятий командного пункта Лиепайской ВМБ, включавших: выделение катеров сопровождения; запрещение дви­жения других кораблей и судов во время движения ракетных ПЛ по фарватеру; передачу информации по обстановке на ПЛ и др.

Была разрабо­тана организация приведения сил и средств в высшие степени боевой готовности, вывода подводных лодок из базы по тревоге. Безопасность при отходе от пирсов одновременно нескольких ПЛ (по тревоге) обеспечивалась на­значенным временем (для каждой ПЛ): экстренного приготовления ПЛ к выходу в море; очередности отхо­да ПЛ от пирса; выхода из базы; за­нятия точки назначенной якорной стоянки.

Для заметок: Знакомясь с этими материалами напрашивается вывод, что все таки, тесновато было для таких лодок в Лиепае, да и близость границ давала о себе знать. Здесь же можно было вспомнить (тогда вспомнить, в 60-70-е годы), что ВМБ Лиепая уже дважды в ХХ веке приходилось быстро оставлять, отдавая без боя из-за опасности удара противника с суши. Зачем же надо было создавать условия для повторения подобных просчетов. Теперь мы знаем, что и третий раз за ХХ век эта военно-морская база была оставлена советским (русским) флотом.
Подводная лодка проекта 651
Подводная лодка проекта 651

Погрузка ракет на ПЛ обеспечи­валась мощным подъемным краном, установленным на 46-м пирсе. Сис­тематически проводились учения по экстренному сбору личного состава и выводу подводных лодок из базы по боевой тревоге. И это очень важ­но, так как было известно, что под­летное время авиации противника для нанесения ударов по Лиепайской ВМБ находилось в пределах 50 минут, и за этот промежуток времени требовалось вывести все ПЛ постоянной готовности из базы. И снова тот же вопрос - может не следовало ракетные лодки размещать так близко к границе?

В 1970-1980-е годы основной формой боевой деятельности эскадры в мир­ное время стала боевая служба и бо­евое дежурство подводных лодок. По указанию ГШ ВМФ и штаба БФ для несения боевой служ­бы в северо-восточной Атлантике, Средиземном и Балтийском морях, как правило, готовили одновремен­но 2-3 подводные лодки, а для наращивания сил боевой службы в часовой готовнос­ти к выходу в море на полную авто­номность в базе находилось 2-4 тор­педные ПЛ на боевом дежурстве. Штаб флота осуществлял постоянный конт­роль готовности эскадры и неред­ко направлял группу офицеров с целью внезапной проверки дежур­ной подводной лодки (нередко – с выходом в море).

Особое внимание уделялось повышению скрытности и боевой устойчивости ракетных подводных лодок. С этой целью для ракетных ПЛ после обследования водолаза­ми, определялись и утверж­дались командующим флотом основные и запасные райо­ны несения боевой службы, надеж­но прикрываемые силами и сред­ствами флота. В мирное время для отработки сил боевой службы ис­пользовались только запасные рай­оны в Финском и Рижском заливах.

С прибытием в назначенный рай­он боевой службы ракетная ПЛ ло­жилась на грунт с режимом подвсплытия на зарядку аккумулятор­ной батареи через 5-6 суток. В про­межутках между всплытиями лодка имела надежную связь с обеспечи­вающим кораблем или береговым постом. Такой вариант несения бо­евой службы ракетных подводных лодок позволял повысить скрытность ее действий, сохранял моторесурс основных ме­ханизмов и обеспечивал надежную связь КП флота с лодкой.

Подводная лодка проекта 629 в доке Лиепаи
Подводная лодка проекта 629 в доке Лиепаи

Также были разработаны и практически отработаны варианты обеспечения торпедными подводными лодками развертывания ракетных ПЛ в районах боевых действий. С занятием ракетной ПЛ своего района обеспечивающие торпедные ПЛ занимали назначенные им районы с задачей не пропустить проникновения подводных лодок и противолодочных кораблей противника в район боевых действий ракетных ПЛ, а охраняемая ракетная ПЛ начинала маневрировать, находясь постоянно в готовно­сти по приказанию нанести ракет­ный удар по назначенному объекту в кратчайший срок.

Торпедные ПЛ 22-й, 40-й и 157-й БрПЛ, имея основным своим боевым предназначением уничтожение бо­евых кораблей и транспортов про­тивника из состава отрядов боевых кораблей и конвоев торпедным и минным оружием, совершенствова­ли свое мастерство на тренировках в кабинетах торпедной стрельбы и на выходах в море.

Для заметок:по опыту было ус­тановлено, что если командир в ка­бинете торпедной (ракетной) стрельбы на контрольной провер­ке старшим начальником выполня­ет атаку на «удовлетворительно», то в море, в более сложных услови­ях, он ее выполнит, как правило, на «двойку». Так что надо было учиться стрелять «на берегу», в кабинете, и не ниже, чем на «хорошо».

Серьезным экзаменом для всей 14-й ЭскПЛ в тот период были осенние тактические учения, которые проводились во время флотских учений, как прави­ло, под руководством главкома ВМФ. К этому мероприятию готовились все подводные лодки, корабли, штабы, экипажи.

Подводные лодки проекта 629А в Лиепае, 1980-е годы
Подводные лодки проекта 629А в Лиепае, 1980-е годы

В середине 80-х годов в состав 14-й ЭскПЛ стали поступать подводные лодки пр.641, как правило, после прохождения ремонта в Кронштадте. Лодки этого проекта за более чем 20 лет службы в советском флоте подтвердили высокие боевые возможности по уничтожению отрядов боевых кораблей и конвоев противника самостоятельно и во взаимодействию с другими силами флота. Лодки были хорошо освоены, и их поступление на БФ позволило расширить операционную зону флота и увеличить боевые возможности 14-й ЭскПЛ при решении боевых задач по предназначению (основной торпедных ПЛ все также оставались лодки пр.613).

Подводная лодка проекта 641 в Ленинграде, 1979 год
Подводная лодка проекта 641 в Ленинграде, 1979 год

В 80-е годы на Балтику стали поступать и новые подводные лодки проекта 877, что могло стать новым этапом развития подводных сил Балтийского флота.

В тоже время к концу 80-х годов срок эксплуатации подводных лодок проекта 629А 16-й ДиПЛ стал подходить к концу, и постепенно эти лодки стали выводиться из состава флота. В дальнейшем процесс сокращения корабельного состава продолжился. Как результат, с 1 октября 1990 года после сокращения корабельного состава 14-я эскадра ПЛ была преобразована в 20-ю дивизию подводных лодок, которая базировалась на Лиепаю до 1993 года. В состав 20-й ДиПЛ вошли 22-я БрПЛ и 58-я БрПЛ, переформированная из 16-й ДиПЛ и включавшая подводные лодки проекта 651 (40-я БрПЛ была расформирована еще в конце 80-х, ее лодки были переданы в состав 22-й и 157-й БрПЛ).

Дизель-электрическая подводная лодка Б-459 "Владикавказ" проекта 877
Дизель-электрическая подводная лодка Б-459 "Владикавказ" проекта 877

Сейчас сложно сказать какими были бы подводные силы БФ в дальнейшем, и как они развивались. В истории развития нашей страны в конце 80-х-начале 90-х годов ХХ века произошли серьезные политические и социально-экономические изменения, что не могло не отразиться на состоянии флота и его соединений. Началась новая эра, новый период, новые условия вооруженной борьбы на море. И это уже друга история.

PS.Кнопка для желающих поддержать автора (знаю что их не будет) - ниже, она называется "Поддержать", )).