Добавить в корзинуПозвонить
Найти в Дзене
Широков Александр

Школьные задачи / Алгебра / А-100

Построить на координатной плоскости график уравнения [|y|]·[|x|] = 3 (под целой частью числа t понимается наибольшее целое число, не превышающее заданное; её принято обозначать при помощи квадратных скобок: [t]; функция f(t) = [t] определена на всём множестве действительных чисел). Рассмотрим сначала вот такое неравенство a ⩽ |t| < b при условии, что 0 < a < b. Решим его, раскрыв модуль: Теперь можно перейти к основному заданию. Заметим, что поскольку модуль числа – неотрицательная величина, то целая часть неотрицательного числа также всегда больше или равна нулю. В левой части исходного уравнения стоит произведение двух целых неотрицательных величин, поэтому оно может быть равно трём только в двух случаях: Попробуем преобразовать полученное объединение систем, сделав его более простым для восприятия. Для этого каждому двойному неравенству присвоим буквенное обозначение (см. выше). Символ системы – фигурная скобка – обозначает требование одновременного выполнения нескольких условий и п
Оглавление

Задание

Построить на координатной плоскости график уравнения

[|y|]·[|x|] = 3

(под целой частью числа t понимается наибольшее целое число, не превышающее заданное; её принято обозначать при помощи квадратных скобок: [t]; функция f(t) = [t] определена на всём множестве действительных чисел).

Решение

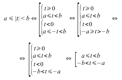
Рассмотрим сначала вот такое неравенство

a ⩽ |t| < b

при условии, что 0 < a < b. Решим его, раскрыв модуль:

Теперь можно перейти к основному заданию. Заметим, что поскольку модуль числа – неотрицательная величина, то целая часть неотрицательного числа также всегда больше или равна нулю. В левой части исходного уравнения стоит произведение двух целых неотрицательных величин, поэтому оно может быть равно трём только в двух случаях:

-2

Попробуем преобразовать полученное объединение систем, сделав его более простым для восприятия. Для этого каждому двойному неравенству присвоим буквенное обозначение (см. выше). Символ системы – фигурная скобка – обозначает требование одновременного выполнения нескольких условий и по смыслу соответствует логическому умножению, а символ объединения (квадратная скобка) означает необходимость выполнения хотя бы одного из требований и подобен логическому сложению. Заменим логические умножение и сложение на «обычные», формально представив рассматриваемое объединение систем в виде:

(A + B)·(C + D) + (E + F)·(G + H)

Данное описание также формально можно преобразовать как обычное алгебраическое – раскрыть в нём скобки:

(A + B)·(C + D) + (E + F)·(G + H) = A·C + A·D + B·C + B·D + E·G + E·H + F·G + F·H

Отсюда получается, что объединение систем (состоящих каждая из двух объединений с двумя двойными неравенствами) должно быть равносильно объединению из восьми систем:

-3

В задании А-94 рассматривалось построение множества точек, описываемого системой

-4

(n, m ∈ ℤ) или равносильной ей

-5

– оно на координатной плоскости представляет собой область квадратной формы (рис. 1).

Рис. 1.
Рис. 1.

Восемь систем в полученном выше объединении могут быть изображены сходным образом, только при построении необходимо дополнительно обращать внимание на знаки в двойных неравенствах – где-то это знак «меньше», а где-то «меньше или равно». В итоге получается, что график заданного в условии задачи уравнения представляет собой совокупность из восьми квадратных областей, где длина ребра каждого «квадратика» равна единице.

Ответ

-7

Другие задания, имеющиеся на канале, можно найти здесь:

Школьные задачи | Широков Александр | Дзен

-8

Перечень публикаций на канале
Широков Александр2 декабря 2020

Сведения о новых статьях блога можно найти в Telegram-канале Shuric_Himik