Добавить в корзинуПозвонить
Найти в Дзене
Широков Александр

Школьные задачи / Алгебра / А-88

Построить на координатной плоскости график уравнения (a > 0, a ≠ 1): logₐy ·logₐx= 0 Функция логарифма определена для положительного аргумента, что накладывает ограничения на возможные значения y и x. Проведём с исходным уравнением равносильные преобразования с учётом того, что произведение равно нулю, если хотя бы один из множителей равен нулю Выражение y = 1 на координатной плоскости описывает прямую линию, параллельную оси абсцисс, а x = 1 – вертикальную прямую, параллельную оси ординат. Из-за требования положительных значений y и x искомым графиком является совокупность частей этих прямых, расположенных в первом квадранте (точки (0; 1) и (1; 0) при этом получаются «выколотыми»). Другие задания, имеющиеся на канале, можно найти здесь: Сведения о новых статьях блога выкладываются в Telegram: Shuric_Himik
Оглавление

Задание

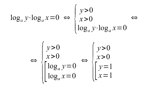
Построить на координатной плоскости график уравнения (a > 0, a ≠ 1):

logₐy ·logₐx= 0

Решение

Функция логарифма определена для положительного аргумента, что накладывает ограничения на возможные значения y и x. Проведём с исходным уравнением равносильные преобразования с учётом того, что произведение равно нулю, если хотя бы один из множителей равен нулю

Выражение y = 1 на координатной плоскости описывает прямую линию, параллельную оси абсцисс, а x = 1 – вертикальную прямую, параллельную оси ординат. Из-за требования положительных значений y и x искомым графиком является совокупность частей этих прямых, расположенных в первом квадранте (точки (0; 1) и (1; 0) при этом получаются «выколотыми»).

Ответ

-2

Другие задания, имеющиеся на канале, можно найти здесь:

Школьные задачи | Широков Александр | Дзен

-3

Перечень публикаций на канале
Широков Александр2 декабря 2020

Сведения о новых статьях блога выкладываются в Telegram: Shuric_Himik

Наука
7 млн интересуются