Добавить в корзинуПозвонить
Найти в Дзене
Широков Александр

Школьные задачи / Алгебра / А-47

Даны два действительных числа a и b, такие, что a < b. Решите уравнение: (под целой частью числа x понимается наибольшее целое число, не превышающее заданное; её принято обозначать при помощи квадратных скобок: [x]; функция y = [x] определена на всём множестве действительных чисел). Из выражения заданного в условии задачи уравнения следует ограничение для возможных значений x: так как (x – a) не может обращаться в ноль (стоит в знаменателе), то x ≠ a. Таким образом множитель 1/(x – a) никогда не равен нулю и можно записать: Решение уравнения [(x – a)/(b – a)]= 0 фактически рассматривалось в задании А-46, поэтому x ∈ (a; b) Разобранное задание, а также результат упражнения А-46 позволяет задать четыре уравнения, решениями которых являются известные школьникам типы числовых промежутков при a, b ∈ ℝ и a < b: 1) Отрезок [a; b] 2) Интервал (a; b) 3) Полуинтервал с «выколотой» на его конце точкой [a; b) 4) Полуинтервал с «выколотой» в его начале точкой (a; b] Подстановка конкретных значений
Оглавление

Задание

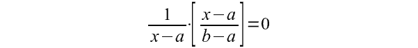
Даны два действительных числа a и b, такие, что a < b. Решите уравнение:

(под целой частью числа x понимается наибольшее целое число, не превышающее заданное; её принято обозначать при помощи квадратных скобок: [x]; функция y = [x] определена на всём множестве действительных чисел).

Решение

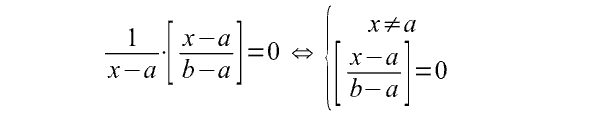
Из выражения заданного в условии задачи уравнения следует ограничение для возможных значений x: так как (x a) не может обращаться в ноль (стоит в знаменателе), то xa. Таким образом множитель 1/(xa) никогда не равен нулю и можно записать:

-2

Решение уравнения [(xa)/(ba)]= 0 фактически рассматривалось в задании А-46, поэтому

-3

Ответ

x ∈ (a; b)

Комментарий

Разобранное задание, а также результат упражнения А-46 позволяет задать четыре уравнения, решениями которых являются известные школьникам типы числовых промежутков при a, b ∈ ℝ и a < b:

1) Отрезок [a; b]

-4

2) Интервал (a; b)

-5

3) Полуинтервал с «выколотой» на его конце точкой [a; b)

-6

4) Полуинтервал с «выколотой» в его начале точкой (a; b]

-7

Подстановка конкретных значений a и b в данные уравнения позволяет создавать различные варианты заданий для учащихся (для проверочных и т.п. работ).

Другие задания, имеющиеся на канале, можно найти здесь:

Школьные задачи | Широков Александр | Дзен

-8
Перечень публикаций на канале
Широков Александр2 декабря 2020

-9