Добавить в корзинуПозвонить
Найти в Дзене
Широков Александр

Школьные задачи / Алгебра / А-44

Построить график функции: Начнём с нахождения области определения y(x). Легко видеть, что выражение функции имеет смысл, если выполняется условие: Обе части последнего неравенства неотрицательны, следовательно, оно не поменяется, если из каждой из них извлечь квадратный корень: Полученное неравенство разбиралось в задании А-43 и было установлено, что его решением является любое действительное число. Это говорит о том, что функция y(x) определена на всём множестве действительных чисел. Для построения графика y(x) её выражение нужно упростить: Мы установили, что при значениях аргумента вне интервала (–1; 1) функция y(x) равна нулю, то есть её график совпадает с осью абсцисс. В случае, если аргумент находится в пределах от –1 до 1, то график y(x) представляет собой «верхнюю» половину окружности единичного радиуса с центром в начале координат (её уравнение x² + y² = 1 ; см. задачу А-21). Заметим, что выражение при x = ±1 равно нулю. Полученных данных достаточно для построения необходимого
Оглавление

Задание

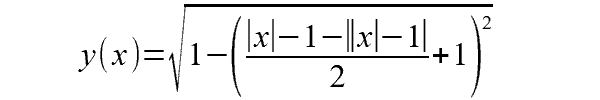
Построить график функции:

Решение

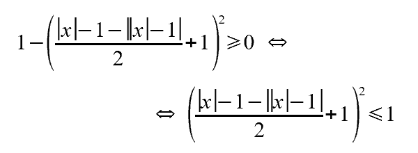
Начнём с нахождения области определения y(x). Легко видеть, что выражение функции имеет смысл, если выполняется условие:

-2

Обе части последнего неравенства неотрицательны, следовательно, оно не поменяется, если из каждой из них извлечь квадратный корень:

-3

Полученное неравенство разбиралось в задании А-43 и было установлено, что его решением является любое действительное число. Это говорит о том, что функция y(x) определена на всём множестве действительных чисел.

Для построения графика y(x) её выражение нужно упростить:

-4
-5
-6
-7

Мы установили, что при значениях аргумента вне интервала (–1; 1) функция y(x) равна нулю, то есть её график совпадает с осью абсцисс. В случае, если аргумент находится в пределах от –1 до 1, то график y(x) представляет собой «верхнюю» половину окружности единичного радиуса с центром в начале координат (её уравнение x² + y² = 1 ; см. задачу А-21). Заметим, что выражение

-8

при x = ±1 равно нулю. Полученных данных достаточно для построения необходимого графика.

Ответ

-9

Другие задания, имеющиеся на канале, можно найти здесь:

Школьные задачи | Широков Александр | Дзен

-10
Перечень публикаций на канале
Широков Александр2 декабря 2020