Добавить в корзинуПозвонить
Найти в Дзене
Широков Александр

Школьные задачи / Алгебра / А-43

Решите неравенство: Решение удобно выполнять, начав с раскрытия модуля | |x| – 1 |: Присмотримся к получившейся в объединении системе более внимательно. Дело в том, что если первое неравенство верно, то второе | |x| | ≤ 1 в этом случае выполняется автоматически. Отсюда следует, что данная система равносильна |x| < 1. Значит: ⇔ x ∈ ℝ Полученный результат говорит о том, что исходное неравенство выполняется при любом действительном x. x ∈ ℝ Другие задания, имеющиеся на канале, можно найти здесь:
Оглавление

Задание

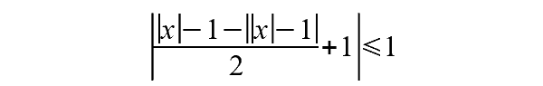
Решите неравенство:

Решение

Решение удобно выполнять, начав с раскрытия модуля | |x| – 1 |:

-2
-3
-4

Присмотримся к получившейся в объединении системе

-5

более внимательно. Дело в том, что если первое неравенство верно, то второе

| |x| | ≤ 1

в этом случае выполняется автоматически. Отсюда следует, что данная система равносильна |x| < 1.

Значит:

-6

x ∈ ℝ

Полученный результат говорит о том, что исходное неравенство выполняется при любом действительном x.

Ответ

x ∈ ℝ

Другие задания, имеющиеся на канале, можно найти здесь:

Школьные задачи | Широков Александр | Дзен

-7
Перечень публикаций на канале
Широков Александр2 декабря 2020
-8