Добавить в корзинуПозвонить
Найти в Дзене

Флоатеры и стратегия активного управления: как сравнивать выпуски

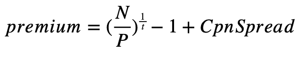
Разбирал подход к активному управлению портфелем облигаций с фиксированным купоном, когда оценка кредитного спреда помогает заменить дорогие бумаги в портфеле на более дешевые при том же уровне кредитного риска. Торгуется более 150 флоатеров на рынке. Попробую применить близкую логику к таким бумагам. Вся представленная информация – личное мнение автора, не является индивидуальной инвестиционной рекомендацией, побуждением к покупке или продаже финансовых инструментов, заключению договоров. Выбор объектов инвестирования должен отвечать персональным предпочтениям и возможности принимать риски. Проблема флоатеров – переменный купон. Не получится рассчитать классический кредитный спред, чтобы сравнить с другими выпусками. Альтернатива – учитывать купон и доходность от переоценки бумаги к дате погашения. Это дает рассчитать премию к базовому параметру, ключу КС или RUONIA, с учетом переоценки: где P – цена облигации,
t – срок в годах до выплаты полной стоимости облигации N,
CpnSpread – прем
Оглавление

Разбирал подход к активному управлению портфелем облигаций с фиксированным купоном, когда оценка кредитного спреда помогает заменить дорогие бумаги в портфеле на более дешевые при том же уровне кредитного риска. Торгуется более 150 флоатеров на рынке. Попробую применить близкую логику к таким бумагам.

Изображение сгенерировала нейросеть Kandinsky.
Изображение сгенерировала нейросеть Kandinsky.

Вся представленная информация – личное мнение автора, не является индивидуальной инвестиционной рекомендацией, побуждением к покупке или продаже финансовых инструментов, заключению договоров. Выбор объектов инвестирования должен отвечать персональным предпочтениям и возможности принимать риски.

Чем заменить кредитный спред для флоатеров

Проблема флоатеров – переменный купон. Не получится рассчитать классический кредитный спред, чтобы сравнить с другими выпусками. Альтернатива – учитывать купон и доходность от переоценки бумаги к дате погашения. Это дает рассчитать премию к базовому параметру, ключу КС или RUONIA, с учетом переоценки:

-2

где P – цена облигации,
t – срок в годах до выплаты полной стоимости облигации N,
CpnSpread – премия купона к базовому параметру,
premium – итоговая премия в % годовых.

Пример расчета для выпуска Систем1P31 по состоянию на 16 августа 2024 года:

-3

Облигация гасится по номиналу 100%, 8 ноября 2028 года, осталось 4,2 года до погашения. Ставка купона: КС + 2,2% или КС + 220 бп. Котировка на закрытии 16 августа: 99,6%. Расчет дает премию 2,29% или 229 бп к КС с учетом переоценки: инвестор получит купон КС + 2,2% годовых и дополнительно 0,09% годовых за счет переоценки. Оценка не учитывает реинвестирование купона, но бумаги сравниваются одинаковым образом.

Логично анализировать выпуски одного эмитента с учетом такой премии. Останется учесть комиссионные расходы для большей точности в числителе и знаменателе формулы. Идея простая: несут одинаковый кредитный риск бумаги эмитента, поэтому дополнительная премия – повод заменить старый выпуск на новый. Не забываем про эмиссионную документацию: могут отражаться на котировках бумаг разные условия по гарантиям или ковенантам, алгоритм расчета купона.

Формулу можно усложнить, чтобы цифра была ближе к текущей скорректированной доходности, ACY, для классических облигаций.

Практические примеры

Собрал КС-флоатеры от 3 эмитентов с одинаковыми формулами расчета купона. Разные ставки по Ростел1P7R и Ростел1P9R: КС + 120 бп и КС + 115 бп. Будет меньше денежный поток по Ростел1P9R в течение срока жизни бумаги, образуется дополнительный доход 0,08% годовых в дату погашения.

КС-флоатеры.
КС-флоатеры.

Сделал оценки для разных сценариев движения ключа по Систем1Р30 и Систем1Р31. Доходность без учета реинвестирования выше по Систем1Р31 при любом сценарии: влияет накопленный купонный доход, НКД, по старому выпуску. Доступен больший объем Систем1Р31 после продажи Систем1Р30.

Получился необычный результат с доходностью к погашению в сценарии со снижением ключа, когда работает реинвестирование. Влияет больший срок Систем1Р31, что дает дополнительный период с низким купоном. Приходит раньше последний купон Систем1Р30. Достаточно реинвестировать этот купон до даты погашения Систем1Р31 под новую ставку, чтобы доходность к погашению Систем1Р30 стала ниже в сравнении с Систем1Р31.

Не учитывал комиссии при замене Систем1Р30 на Систем1Р31.

Итоги

Премия с учетом переоценки дает сравнивать флоатеры с близкими сроками и похожим алгоритмом расчета купона. Логично смотреть на выпуски одного эмитента или бумаги компаний из одной отрасли с близким кредитным качеством. Можно дополнительно оценить влияние комиссий для более точного результата.

Получился упрощенный аналог кредитного спреда, который применяют для сравнения классических облигаций с фиксированным купоном.

Альтернативный подход – смоделировать потоки платежей и сравнить результат по разным бумагам напрямую.

Не допускается полная или частичная перепечатка без согласия автора.

ДРПА – дополнительное размещение после аукциона

Индикатор RUONIA, Ruble Overnight Index Average, показывает процентную ставку однодневных рублевых межбанковских кредитов

Индикатор RUSFAR, Russian Secured Funding Average Rate Overnight, показывает процентную ставку по сделкам и заявкам РЕПО с ЦК КСУ

Ссылки на материалы по терминам из публикации: