Добавить в корзинуПозвонить
Найти в Дзене

Как некоторые студенты испытывают трудности с одними и теми же задачами

У нас в университете весенний семестр начался 9 февраля, то есть уже прошло 5 недель от его начала. Математику в этом семестре начали с изучения интегрального исчисления, и на этой неделе наконец закончили осваивать технику интегрирования – на лекциях уже перешли к понятию определённого интеграла, а на практических занятиях ещё в последний раз занимались неопределёнными интегралами. Ну то есть у нас со студентами на этой неделе было пятое практическое занятие по нахождению неопределённых интегралов. Пятое! Но для некоторых студентов почему-то всё как впервые. И вроде бы они и занятия не пропускают – и лекции, и семинары – и домашние задания выполняют, ошибки в которых каждый раз на доске подробно разбираем, но вот всё равно отдельные товарищи (причём товарищи-то неглупые и старательные!) как спотыкались на некоторых простейшие задачах, так и продолжают спотыкаться. Причём затык может быть вызван тем же самым интегралом, о который данный студент уже споткнулся и на первом, и на втором,

У нас в университете весенний семестр начался 9 февраля, то есть уже прошло 5 недель от его начала. Математику в этом семестре начали с изучения интегрального исчисления, и на этой неделе наконец закончили осваивать технику интегрирования – на лекциях уже перешли к понятию определённого интеграла, а на практических занятиях ещё в последний раз занимались неопределёнными интегралами. Ну то есть у нас со студентами на этой неделе было пятое практическое занятие по нахождению неопределённых интегралов. Пятое! Но для некоторых студентов почему-то всё как впервые. И вроде бы они и занятия не пропускают – и лекции, и семинары – и домашние задания выполняют, ошибки в которых каждый раз на доске подробно разбираем, но вот всё равно отдельные товарищи (причём товарищи-то неглупые и старательные!) как спотыкались на некоторых простейшие задачах, так и продолжают спотыкаться. Причём затык может быть вызван тем же самым интегралом, о который данный студент уже споткнулся и на первом, и на втором, и на последующих семинарах. Я конечно руки не опускаю, но всё-таки мысли о бренности бытия посещают регулярно.

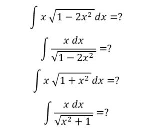
Все эти интегралы можно найти одним и тем же способом.
Все эти интегралы можно найти одним и тем же способом.

Я уже когда-то писала о феномене одной ученицы, студентки 1 курса, с которой мне пришлось недолго контактировать в качестве репетитора – там вообще всё максимально странно оказалось: каждое занятие было как впервые, даже без какого-либо намёка на то, что "мы такое уже решали". Можете об этом вот здесь прочитать:

С интегралами сейчас, конечно, не настолько странно всё, как тогда с этой ученицей – стоит направить в нужное русло, и студент вспоминает, что надо делать, и дальше всё происходит благополучно – но я не могу объяснить сам факт того, что человек каждый раз тормозит, погружаясь в глубокие раздумья в одном и том же месте, причём это происходит даже не дважды, а на каждом занятии. Вроде в предыдущие разы всё неоднократно проработали, человек разобрался, он и сам каждый раз говорит, что понял – но откуда тогда этот затык? Особенности восприятия, памяти? Что?

Моему супругу 60 лет, память у него всегда была так себе, ну а теперь тем более, но он сумел найти в этом положительный момент. Например, вечером включает какой-нибудь фильм, а я вижу, что этот фильм мы с ним уже смотрели, и сообщаю об этом (просто фильмы, да и вообще любое видео, я одна практически не смотрю – лучше почитаю что-нибудь или вот попишу). Поэтому получается, что раз я этот фильм смотрела, то муж тем более смотрел, это точно – но он почему-то не помнит. Я удивляюсь и посмеиваюсь над этой его забывчивостью, но супруг в противовес приводит следующий аргумент: «Вот тебе неинтересно, потому что ты уже смотрела и помнишь это. А у меня зато каждый раз как первый – всегда интересно!».

Такое ощущение, что и у некоторых моих студентов также: каждый раз над одними и теми же интегралами они размышляют, как будто видят их впервые – зато всегда интересно.

__________________________________________

Кстати, доску в лекционной аудитории, исписанную перманентным маркером, о которой шла речь в статье несколько дней назад, отмыли. Вот эта статья:

И представьте: я в четверг прихожу в эту аудиторию, вижу отмытую доску, испытываю «чувство глубокага удовлетворения». Подходит один из моих студентов и говорит, что на всякий случай, если бы доску до сих пор не отмыли, он специально принёс из дома спирт, чтоб её-таки отмыть и чтоб лекция наша не пропала вновь. Ну типа «экзамен для меня всегда праздник, профессор», только на полном серьёзе. Я чуть не прослезилась, реально! У меня самые лучшие студенты, это точно – впрочем, я это и так знала.

Отмытая доска в аудитории 4.
Отмытая доска в аудитории 4.