Добавить в корзинуПозвонить
Найти в Дзене

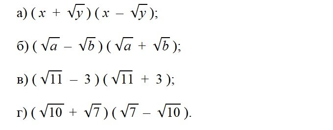
№ 423 (а – г) из учебника по алгебре для 8-го класса (автор Ю. Н. Макарычев)

Произведение разности двух выражений и их суммы Уважаемые мамы и папы, дедушки и бабушки! На примерах решений заданий № 423 (а – г) из учебника по алгебре для 8-го класса авторов Ю. Н. Макарычева, Н. Г. Миндюк, К. И. Нешкова и С. Б. Суворова под редакцией С. А. Теляковского предлагаю вспомнить формулу произведения разности двух выражений и их суммы. Выполните действия, используя формулы сокращённого умножения: Решение: В седьмом классе школьники проходили формулу произведения разности двух выражений и их суммы. Доказательство этой формулы приводить не будем – это уже сделали авторы учебника (при этом они использовали правило умножения многочлена на многочлен), а просто используем её для решения наших примеров: В заданиях «в» и «г» мы не расписали возведение квадратных корней из чисел 11, 7 и 10 в квадрат, так как после «а» и «б» алгоритм решения ученикам уже ясен. Но при этом в задании «г» мы в первой паре скобок поменяли местами слагаемые – ведь от их перестановки сумма не меняется, а
Оглавление

Произведение разности двух выражений и их суммы

Уважаемые мамы и папы, дедушки и бабушки!

На примерах решений заданий № 423 (а – г) из учебника по алгебре для 8-го класса авторов Ю. Н. Макарычева, Н. Г. Миндюк, К. И. Нешкова и С. Б. Суворова под редакцией С. А. Теляковского предлагаю вспомнить формулу произведения разности двух выражений и их суммы.

Выполните действия, используя формулы сокращённого умножения:

Решение:

В седьмом классе школьники проходили формулу произведения разности двух выражений и их суммы.

-2

Доказательство этой формулы приводить не будем – это уже сделали авторы учебника (при этом они использовали правило умножения многочлена на многочлен), а просто используем её для решения наших примеров:

-3

В заданиях «в» и «г» мы не расписали возведение квадратных корней из чисел 11, 7 и 10 в квадрат, так как после «а» и «б» алгоритм решения ученикам уже ясен. Но при этом в задании «г» мы в первой паре скобок поменяли местами слагаемые – ведь от их перестановки сумма не меняется, а использовать формулу произведения разности двух выражений и их суммы становится удобнее.