Найти в Дзене
Зачем мы такие?

Исследование взглядов жителей 30 стран на роль генов и жизненного опыта в формировании человеческих черт и поведения

Автор – Альбина Галлямова Как правило, каждый из нас когда-то задумывался о том, насколько сильно наследственность и жизненный опыт (напр., воспитание, культура и окружение) влияют на поведение человека и его различные черты: интеллект, личность, вес или склонность к преступлениям. Ранее мы уже писали о некоторых научных данных на этот счёт (см. Стабильность интеллекта на протяжении жизни: крупнейший лонгитюдный мета-анализ развития от младенчества до зрелости, Интеллект в условиях экстремальной бедности: соотношение генов и среды в беднейшей стране Африки). Но что об этом думают обычные люди? Учёные решили это выяснить среди жителей 30 стран, включая Россию, и сравнили их обывательские представления с научными данными. Это исследование показало интересные различия между регионами. В чём-то получились даже неожиданные результаты. Исследование оценивало, как люди воспринимают вклад генов и жизненного опыта в формирование интеллекта, личности, веса и преступности. Главные выводы: l Инт
Оглавление

Автор – Альбина Галлямова

Как правило, каждый из нас когда-то задумывался о том, насколько сильно наследственность и жизненный опыт (напр., воспитание, культура и окружение) влияют на поведение человека и его различные черты: интеллект, личность, вес или склонность к преступлениям. Ранее мы уже писали о некоторых научных данных на этот счёт (см. Стабильность интеллекта на протяжении жизни: крупнейший лонгитюдный мета-анализ развития от младенчества до зрелости, Интеллект в условиях экстремальной бедности: соотношение генов и среды в беднейшей стране Африки). Но что об этом думают обычные люди? Учёные решили это выяснить среди жителей 30 стран, включая Россию, и сравнили их обывательские представления с научными данными. Это исследование показало интересные различия между регионами. В чём-то получились даже неожиданные результаты.

Основные результаты

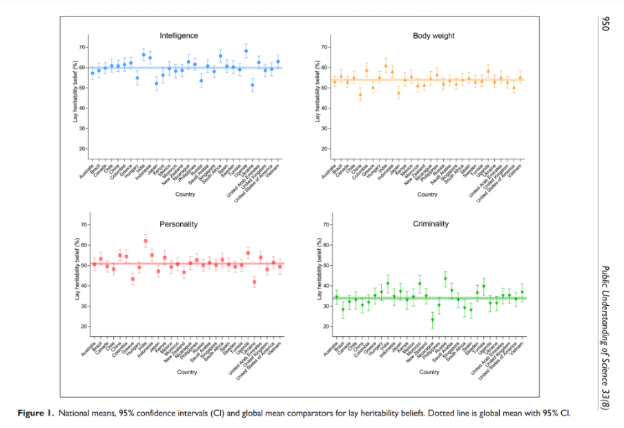
Исследование оценивало, как люди воспринимают вклад генов и жизненного опыта в формирование интеллекта, личности, веса и преступности. Главные выводы:

l Интеллект: участники оценивали вклад генов и жизненного опыта в интеллект более-менее близко к научным данным. Это единственная черта, где представления большинства респондентов оказались относительно точными. Однако в России вклад генов оценили в 53.5%, что является заниженной и одной из самых низких оценок среди всех рассмотренных стран.

l Личность: здесь наблюдалась явная переоценка генетики. Большинство респондентов считало, что личностные черты в основном обусловлены генетикой. В России вклад генов оценили в 50.0%.

l Вес: вклад генов для веса оказался недооценённым. Многие участники видимо считали, что вес определяется исключительно образом жизни. В России вклад генов оценили в 52.1%.

l Склонность к преступлениям: это самая недооценённая черта. Модальный ответ (т.е. самый распространённый) участников был 0%, то есть большинство считало, что преступность полностью зависит от жизненного опыта, без какого-либо вклада генов! Это резко контрастирует с научными данными. Однако примечательно, что в России склонность к преступности получила более высокую среднюю оценку генетического вклада (43.2%), чем в большинстве стран, где этот показатель часто был значительно занижен.

Средний процент по странам для убеждений о вкладе генов в интеллект, черты личности, вес и склонность к преступлениям. Участников просили оценить вклад генов и жизненного опыта, используя шкалу от 0% до 100%. Значение 0 означало, полную обусловленность жизненным опытом, а 100 — генами.

Культурные различия

Представления о роли генов и жизненного опыта варьировались в зависимости от страны:

l В таких странах, как Индия, Уганда и Индонезия, люди чаще приписывали большую роль генам. Их оценки генетического влияния были выше, чем в среднем по миру.

l В Японии, Украине и Греции, напротив, большее значение придавалось жизненному опыту, а гены считались менее важными.

Российские респонденты чаще, чем в среднем по миру, приписывают генам значительную роль в формировании склонности к преступлениям и веса. Однако их оценки для интеллекта и личности находятся ближе к мировым средним значениям. Относительно точности: россияне были довольно близки относительно оценки вклада генов в преступное поведение, но очень недооценивали вклад генов в интеллект.

Фактор младенческой смертности

Исследователи анализировали национальные особенности, которые связаны с этими различиями в оценках: уровень культурного индивидуализма и избегания неопределённости, экономическое развитие и превалирование аналитического или холистического типа мышления. Оказалось, что одним из ключевых факторов, связанных с восприятием у жителей рассмотренных стран, оказался уровень младенческой смертности. В странах с высокой младенческой смертностью (напр., в Уганде и Кении) люди чаще считали, что гены играют ключевую роль в определении черт. Напротив, в странах с низкой смертностью (напр., в Японии и Швеции) акцент делался на жизненный опыт. Учёные объясняют это тем, что в сложных условиях, где уровень выживания низок, хорошая генетика может восприниматься как решающий фактор для преодоления жизненных трудностей.

Возраст и восприятие генетики

Возраст респондентов также влиял на их оценки. Люди старше 40 лет чаще переоценивали вклад генов, особенно в черты личности. Однако их взгляды на вклад генов в вес и преступность практически не отличались от взглядов более молодых участников.

Зачем это нужно?

Учёные отмечают, что представления людей о роли генов и жизненного опыта имеют важное практическое значение. Например, если люди считают, что преступность полностью зависит от среды, это может привести к игнорированию биологических факторов, которые в действительности играют важную роль. И наоборот, если черты характера воспринимаются людьми как исключительно генетически предопределённые, это может снизить их веру в возможность личностного роста.

Заключительные мысли

Это исследование стало первым масштабным обзором обывательских представлений о наследственности и жизненном опыте, включающим страны с разным уровнем развития. Оно показало, как культурные и социальные факторы формируют взгляды на это сложное явление. Данные помогут учёным, педагогам и политикам лучше понять, как люди воспринимают научные знания и как сделать их более доступными для широкой аудитории.

Ссылка на исследование