Найти в Дзене
Математика не для всех

Потрясающе красивая и простая связь чисел Фибоначчи и золотого сечения

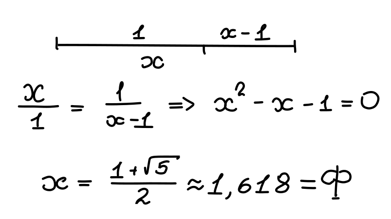
"Разделить прямую линию в крайнем и среднем отношении значит разделить её на два таких отрезка, чтобы отношение всей линии к большему отрезку равнялось отношению большего отрезка к меньшему" - именно так звучало первое в математике определение золотого сечения, автором которого был великий Евклид Если эта формулировка кажется запутанной, то вот более простой вариант: "Целое должно относиться к большей части, как большая часть к меньшей части" Теперь это можно легко отразить на рисунке: Кстати, обозначение золотого сечения Ф соответствующей буквой - предание не такой уж и далекой старины. Американо-британский математик и инженер Марк Барр предложил использовать первую букву имени Фидий в честь архитектора Парфенона в Афинах. Таким образом, золотое сечение Ф - это всего лишь корень простейшего квадратного уравнения. Давайте перепишем его немного другим образом и преобразуем: И здесь мы видим старых знакомых уже из области элементарной арифметики - числа Фибоначчи - и даже можем записать

"Разделить прямую линию в крайнем и среднем отношении значит разделить её на два таких отрезка, чтобы отношение всей линии к большему отрезку равнялось отношению большего отрезка к меньшему" - именно так звучало первое в математике определение золотого сечения, автором которого был великий Евклид

Источник: https://24smi.org/public/media/celebrity/2017/04/19/0HzxmBYtaPki_evklid.jpg
Источник: https://24smi.org/public/media/celebrity/2017/04/19/0HzxmBYtaPki_evklid.jpg

Если эта формулировка кажется запутанной, то вот более простой вариант:

"Целое должно относиться к большей части, как большая часть к меньшей части"

Теперь это можно легко отразить на рисунке:

-2

Кстати, обозначение золотого сечения Ф соответствующей буквой - предание не такой уж и далекой старины. Американо-британский математик и инженер Марк Барр предложил использовать первую букву имени Фидий в честь архитектора Парфенона в Афинах.

Источник: https://miro.medium.com/max/1400/1*x9yFY4WIca5nhxN8k9XyBw.jpeg
Источник: https://miro.medium.com/max/1400/1*x9yFY4WIca5nhxN8k9XyBw.jpeg

Таким образом, золотое сечение Ф - это всего лишь корень простейшего квадратного уравнения. Давайте перепишем его немного другим образом и преобразуем:

-4

И здесь мы видим старых знакомых уже из области элементарной арифметики - числа Фибоначчи - и даже можем записать простую формулу:

-5

Как кроме этого связаны числа Фибоначчи и золотое сечение? Попробуем вычислить отношение двух соседних членов этой последовательности:

-6

Как видно, частное неумолимо приближается к тому самому числу Фидия. Формально доказательство необходимо провести через пределы:

-7

Другое замечательное свойство, которое проявляется в результате связи чисел Фибоначчи и золотого сечения - это возможность представления любого целого (в общем случае кольца чисел вида Z[Ф]) в виде последовательных сумм чисел Фидия в различных степенях:

-8

В этом случае мы кодируем наличие каждой из степеней знаком "1" с учетом следующей таблицы:

-9

Представление в Ф-позиционной системе счисления имеют и трансцендентные и иррациональные числа:

-10

Удивительно, но и эта абстрактная система пригодилась в практической сфере - теории связи для преобразования алгоритма импульсно-кодовой модуляции (преобразования аналогового сигнала в цифровой с помощью последовательных дискретизации, квантования и кодирования). Для интересующихся кодером на основе золотого сечения - ссылка здесь.

  • Спасибо за внимание!
  • TELEGRAM и Вконтакте- там я публикую не только интересные статьи, но и математический юмор и многое другое.